El discurso de la “diversidad”, originado en la diversidad poblacional, estuvo dirigido al principio a la diferencia etnorracial en Estados Unidos, y muy pronto orientado hacia el incremento de la pluralidad por orígenes producida por la aceleración de los flujos migratorios internacionales. Este discurso ha jugado un papel indiscutido en el diseño de políticas que tenían como objetivo la acomodación e integración de la población inmigrada, y especialmente en el campo de la sensibilización, a veces hasta su banalización. El epítome de esta banalización en el sector empresarial lo ejemplificó en los años noventa la campaña United Colors of Benetton, junto con las “fiestas de la Diversidad”. En todo caso, el discurso de la diversidad ha dejado un rastro indeleble en la hegemonía de la multiculturalidad como práctica política dirigida a la integración de la población inmigrada.
Ese proceso coincidió en el tiempo con una nueva problematización del despoblamiento rural: por un lado, como el reflejo de las desigualdades plasmadas en el territorio; y, por otro lado, por la fractura creciente que en términos de cohesión social se pudiera estar produciendo entre las áreas urbanas (zonas privilegiadas de crecimiento económico) y las rurales (zonas deprimidas), y el uso que la población urbana, pero también el mercado, podía estar haciendo de los espacios rurales. Esa problemática común a todos los países de la Unión Europea, ha hecho aparecer recientemente la inmigración internacional como alternativa, entre otras, al despoblamiento rural, negligiendo muchas veces que la inmigración internacional ya estaba presente en el ámbito rural, también entre los municipios de menor tamaño. Sin embargo, las iniciativas políticas que ahora redescubren el valor de la diversidad para los ámbitos rurales, parecen haber olvidado esa realidad.
El principal objetivo de este artículo es medir la diversidad por orígenes surgida de la inmigración distinguiendo entre espacio urbano y rural. Para ello, en primer lugar, se abordará el origen y difusión del relato sobre la diversidad, relacionado (aunque no solo) a la pertinencia nacional o étnica y vinculado al modelo neoliberal de inspiración anglosajona, para determinar si existe lugar para su transformación en un espacio de oportunidades para la población, independientemente de sus orígenes. En segundo lugar, se prestará atención a las prácticas políticas que se han desarrollado en diferentes administraciones públicas para promover la integración e inclusión de las personas de origen extranjero, para contextualizar la práctica de este discurso. En tercer lugar, se medirá la diversidad ponderando la presencia de diferentes grupos en un mismo territorio, aplicado a las principales regiones urbanas y rurales del país. Finalmente, se reflexionará sobre las consecuencias de esta gestión de la diversidad a diferentes niveles administrativos. Nos interesa plantear las consecuencias y oportunidades que ello presenta para el mundo local, tanto en el ámbito urbano como rural, prestando especial atención a los contenidos de la perspectiva intercultural, entendida como una praxis de cambio social que debe implicar a toda la ciudadanía.
El origen del concepto de diversidad aplicado a la pluralidad de la población por razón de su origen (migrantes) o su categorización etnocultural (minorías) puede rastrearse como alternativa neoliberal al movimiento de los Derechos civiles en Estados Unidos en el mundo de la empresa, en los ya lejanos años ochenta del pasado siglo XX y bajo la administración Reagan (Vertovec, 2012). Sin embargo, su triunfo indiscutible podemos sin duda fijarlo cuando este discurso es reelaborado e integrado como estrategia de la gestión urbana en el nuevo milenio. En su primer paso, el discurso de la diversidad permitió relegar las políticas de afirmación positiva como reconocimiento y reparación, a favor del argumento de la competitividad y el incremento de la productividad en la empresa, pronto adoptado por una administración que tomó la empresa como modelo (Laval y Dardot, 2009). Mientras que, en el segundo paso, la diversidad se consagra no solo como un valor ético en sí mismo, indiscutible, sino que se presenta como un factor indispensable para la planificación urbana, como un elemento que garantiza la competitividad entre las ciudades en una globalización organizada como una red de nexos urbanos en el contexto de la aceleración de flujos de personas, bienes e información. Toda metrópolis que se precie integrará en sus planes estratégicos de urbanismo como una gestión de la diversidad como uso que suele hacerse del mismo, antes de pasar nosostros ro sus raices ferente al demo la diversidad, como una manera de hacer frente al crecimiento de la pluralidad poblacional fruto de las migraciones, si no su fomento, con el fin de atraer capital y promover la innovación, como ingredientes indispensables para el crecimiento económico (Fainstein, 2005).
Pese a que no faltó quien pusiera en evidencia que ese discurso que subrayaba la diferencia cultural se estaba haciendo en detrimento de la lucha contra la desigualdad (Michaels, 2006), el discurso consiguió el consenso tanto de la derecha como de la izquierda.
Esa cooptación de la “diversidad” y su promoción en el nuevo milenio que se encuentra en la raíz de su praxis política tal y como la conocemos hoy, puede entenderse además como una reacción al miedo a la fractura social primero, y como una alternativa al modelo “multiculturalista” (que no a la realidad multicultural), puesto progresivamente en cuestión. Es así como, a las ventajas en la competitividad provenientes del modelo empresarial, se le añadirá el convertirse en pieza central de la llamada “cohesión social”, definida por el sociólogo Albreck Larsen (2013) como la creencia que tienen los ciudadanos de un determinado territorio de compartir una comunidad moral, que les permite confiar uno en el otro.
Muy pronto las organizaciones supranacionales apuestan por ese nexo en el que la pluralidad poblacional, bajo el paraguas conceptual de la diversidad, pasa de ser un “reto” a ser una “oportunidad”, como se refleja en el informe del año 2000 del Consejo de Europa sobre diversidad y cohesión social (Niessen, 2000). Es en este contexto y como respuesta a los atentados del 11-S donde podemos entender el triunfo de las tesis de Richard Florida (2002) sobre “las clases creativas”, cuyo libro tuvo como resultado, si no el incremento, sí la legitimación de la gentrificación. De este modo, la diversidad debe ser cultivada, promovida para el buen gobierno de la ciudad ya no solo por razones económicas, sino por su contribución a la cohesión social. También el término de “super-diversidad”, desarrollado por el antropólogo Steven Vertovec (2007) extenderá el concepto más allá del origen o la categorización etnocultural, integrando la orientación sexual, el género, o la funcionalidad física o mental, y puede ser considerado una respuesta a los atentados de Londres de 2005.
El renovado interés por la “cohesión social”, cuyo origen remoto podemos encontrar en la obra de Emile Durkheim en el siglo XIX, se vio incentivado por el malestar ante las algaradas en barrios periféricos de las metrópolis europeas, como Bradford, Herehills y Odham en Gran Bretaña en 2001 o en París en 2005 (donde los jóvenes protagonistas no necesariamente eran inmigrados). También desde entonces se asumió la dicotomía entre “cohesión social” (para referirse básicamente a la desigualdad económica) y “cohesión comunitaria” (para introducir la diferencia etnocultural o a la cuestión racial), como hiciera en su momento el fundador del Instituto de la Cohesión Comunitaria, Ted Cantle (2001; 2005).
El desarrollo de esa aproximación no abandonará los parámetros neoliberales, proponiendo el fomento del capital humano y el capital social —entendidos como capacitación para la competencia—, como formas de afianzar la “cohesión social” (Zetter et al., 2006). En esa tradición se sitúa la obra de Putnam (2000; 2007), no únicamente en la distinción entre el “capital-lazo” como el que sirve para mantener unida a la comunidad (más cercano al concepto de “solidaridad orgánica” de Durkheim [2012]), y el “capital-puente” entre comunidades, como lo que permite la interrelación entre diferentes comunidades, sino también en el reconocimiento de lo que a corto y medio plazo puede suponer una anomía (el incremento de la pluralidad poblacional) a largo plazo, gracias a la plasticidad de la identidad, deviene una forma de evolución mediante la adaptación inclusiva de la diferencia.
Por último, el discurso de la “diversidad” acabó imponiéndose como vía alternativa, y desplazando al “multiculturalismo” como praxis política. Ese desplazamiento había empezado con anterioridad desde la propia academia, por ejemplo, con las críticas decoloniales que acusaban al multiculturalismo de resubstancializar las categorías coloniales (Bhabha, 2011). Pero su caída se precipitó en el campo político con la proclamación de Angela Merkel de que “el enfoque multicultural ha fracasado, ha fracasado por completo” en octubre de 2010, en un parlamento a las juventudes del Partido Demócrata Cristiano que lideraba, y la reacción en cadena que siguió de los principales líderes europeos con la adhesión en febrero de 2011 del Primer Ministro británico David Cameron, en la conferencia Internacional de seguridad que se celebraba en Munich y, días más tarde, la del presidente de la República francesa, Nicolas Sarkozy. De nada sirvieron la defensa desde el campo académico de sus principales teóricos, como William Kymlicka (2010; 2012). Desde entonces “interculturalidad” y “diversidad” serían los candidatos a desplazar a un “multiculticulturalismo” (entendido como modelo de gestión), afianzándolas como se había propuesto con anterioridad como una “tercera vía” entre multiculturalismo y asimilacionismo (Faist, 2009).
En este sentido, el enfoque interculturalista se construye como una respuesta que busca superar los límites, principalmente, del multiculturalismo. Para autores como Meer y Modood (2012) o Kymlicka (2016), no se trata de un modelo nuevo sino de una narrativa distinta que busca alcanzar los objetivos del discurso multiculturalista original: la defensa de las políticas en pro de la diversidad para desactivar también discursos populistas o xenófobos.
The interculturalism-as-remedy-for-failed-multiculturalism trope is not offered as an objective social science account of our situation, but rather, I believe, is intended to serve as a new narrative or, if you like, a new myth. (Kymlicka, 2016, p. 162).
Para otras voces, como Zapata-Barrero (2015) o el propio Consejo de Europa (2017), el enfoque interculturalista es una nueva fórmula de gestión pública para acomodar las nuevas diversidades emergentes, especialmente, en los espacios urbanos. El debate, tanto en su marco académico como político, está abierto y la utilización (e intencionalidad) de los conceptos no deja de ser, en sí mismo, objeto de discusión.
El origen de la medida de la diversidad nos ayudará a entender la suerte del concepto y su progresiva banalización, pero sobre todo introduce en la discusión lo que para nosotros constituye un principio fundamental tanto en su construcción como en su medida: la categorización. Los principales indicadores que tienen como objetivo medir la diversidad (el índice de Simpson y el de Shannon) tienen su origen en el campo de la ecología. En nuestro caso utilizaremos el índice de Simpson (Simpson, 1949). El indicador pretendía ser una medida de la biodiversidad de un territorio determinado, estimando el grado de concentración o pluralidad alcanzada cuando los individuos de una especie o población son clasificados en grupos diferentes. La idea central era que podía considerarse un territorio más rico en biodiversidad no solo cuanto más especies o grupos diferentes se encontraran, sino cuando esos grupos o especies se distribuían de una forma equilibrada, introduciendo la idea de ponderación. De este modo, el índice se aleja de la banalización que reduce la “diversidad” al simple número de diferentes orígenes o nacionalidades, o grupos etnoculturales, o lenguas, confesiones religiosas que puedan albergar los barrios o municipios.
Además del concepto de ponderación, Simpson introduce también la taxonomía, es decir, la importancia de la categorización, lo que supone que previamente el observador tiene que decidir qué grupos se van a medir y qué categorías se van a considerar para esa medida de la diversidad. Por otro lado, y en estrecha relación con lo dicho, subyace también la cuestión de la escala geográfica: el mantenimiento de una misma categorización en grupos deja de tener sentido o lo adquiere según la escala geográfica a la que se aplique. Este último elemento es primordial para entender la construcción de la categorización para la dicotomía entre espacios rurales y espacios urbanos. Pero también para las diferentes regiones rurales o urbanas teniendo en cuenta la distribución desigual de la población inmigrada, y de los diferentes grupos que podemos constituir a partir de esa experiencia de residir en un lugar diferente al de su nacimiento.
Existen muchas acciones de políticas y acciones de integración e inclusión, desarrolladas tanto desde las administraciones centrales como, especialmente, desde las administraciones autonómicas y locales. No obstante, también es cierto que las políticas de gestión de flujos no siempre son acompañadas de políticas o acciones de integración e inclusión suficientemente fuertes o coordinadas (Giguère, 2006), lo que genera no pocos desajustes. Teniendo en cuenta que, en general y en España en particular, las primeras políticas están en manos de la administración central y las segundas, principalmente, en manos de comunidades autónomas y municipios, esta falta de correlación se ve acompañada por un marco competencial distinto que también puede afectar a la integralidad de las acciones de integración (Scholten y Pennix, 2016; Zapata-Barrero et al., 2020).
Las políticas de integración han estado ausentes de la centralidad del debate público en España (Pinyol-Jiménez, 2023), a pesar de la importancia y relevancia que se les concede para la consecución de una buena integración y, por ello, en la garantía de la cohesión social (Comisión Europea, 2020). De hecho, la conceptualización de la integración en España no se ha estructurado de modo unívoco, entendiéndose la existencia de prácticas, experiencias y actuaciones “sin modelo” (Cebolla-Boado y González-Ferrer, 2013) o con filosofías distintas (Ferrero-Turrión y Pinyol-Jiménez, 2009). La falta de este marco compartido a nivel estatal se ha ido supliendo con el trabajo de muchos municipios, y posteriormente comunidades autónomas, que empezaron a trabajar desde el principio con la población inmigrante residente en el territorio. Ello se explica, en buena parte, por el papel jugado por el padrón municipal que, sin ser una herramienta de política migratoria, ha jugado en España un papel clave en la integración de las personas migrantes (Solanes, 2004).
El tema de la “integración social de los inmigrantes” quedó fuera de la primera ley de extranjería en España, y solo apareció en 1994, en el Plan de Integración Social de los Inmigrantes, aunque ya se había mencionado en 1993, en el primer Plan Interdepartamental de Inmigración aprobado por la Generalitat de Catalunya. En el ámbito estatal, será la Ley Orgánica 4/2000, cuyo título incluye ya la idea de “integración social” de las personas extranjeras en España, la que establece un catálogo de derechos y libertades para la población migrante que se mantendrá en sus posteriores modificaciones. La ley establece el mandato de la integración en el nuevo art. 2 bis, así como el contenido mínimo de éste (conocimiento de la lengua y los valores constitucionales, educación y formación, etc. en el art. 2 ter). Igualmente, recoge que todos los poderes públicos deberán promover la integración de las personas migrantes en todas las políticas públicas.
Esto supone el desarrollo de distintos planes a nivel estatal, el primero de los cuales sería el conocido como Plan GRECO (Programa Global de Regulación y Coordinación de la Extranjería y la Inmigración en España), que fue puesto en marcha en el periodo 2000-2004 y establecía como uno de sus cuatro ejes de trabajo la “integración de los residentes extranjeros y de sus familias, que contribuyen activamente al crecimiento de nuestro país”. Con una perspectiva principalmente asimilacionista (Blanco, 2001), el Plan ya señalaba la necesidad de trabajar en ámbitos de educación, empleo y reagrupación familiar, así como garantizar la igualdad de derechos y deberes y luchar contra la xenofobia y el racismo. En 2007 se aprobó el primer Plan Estratégico de Ciudadanía e Integración (PECI) 2007-2010, diseñado como una guía para las iniciativas de las Administraciones Públicas y la sociedad civil. En su parte introductoria, el PECI incorporaba un considerable bagaje teórico para dotar de sentido y contenido las políticas de integración, con el objetivo de formular un modelo propio de integración, surgido de manera algo tardía y a remolque de las acciones previamente emprendidas por la Administración Local y las CC. AA. (Pinyol-Jiménez, 2023). El PECI I tuvo su continuidad con el PECI II 2011-2014, que señalaba la necesidad de redibujar mínimamente las prioridades de las actuaciones públicas, moviendo el centro de actuación de la acogida a la cohesión social. Durante los años 2005-2012 funcionó el Fondo para la acogida e integración de los migrantes, así como el refuerzo de la educación, con el objetivo de apoyar a las comunidades autónomas (y desde las mismas a los municipios) en promover y desarrollar medidas relacionadas con las personas recién llegadas. Este instrumento explica buena parte del desarrollo de actuaciones a nivel autonómico y local, muchas de las cuales acaban cuando se cierra el mismo. En 2023, la aprobación del nuevo Marco Estratégico de Ciudadanía e Inclusión contra el Racismo y la Xenofobia (2023-2027) busca, sin mucha claridad de cómo hacerlo, conseguir que al menos el 40% de municipios pudieran tener acciones o planes de integración o prevención de racismo y xenofobia.
| CC. AA. | Planes de Inmigración |
|---|---|
| Andalucía | I Plan Integral para la Inmigración en Andalucía 2001-2005 |
| II Plan Integral para la Inmigración en Andalucía 2006-2009 | |
| III Plan Integral para la Inmigración en Andalucía: Horizonte 2016 | |
| IV Plan Integral de la Inmigración en Andalucía 2018-2022: “Ciudadanía Migrada” | |
| Estrategia Andaluza para la Inmigración 2021-2025 | |
| Aragón | Plan Integral para la Inmigración en Aragón 2004 |
| III Plan de Inclusión y Convivencia Intercultural en Aragón 2014-2016 | |
| Plan Integral para la Gestión de la Diversidad Cultural en Aragón 2018-2021 | |
| Plan Integral de Gestión de la Diversidad Cultural de Aragón 2022-2025 | |
| P. de Asturias | IV Plan Integral de Emigración del Principado de Asturias 2013-2016 |
| Illes Balears | Plan Integral de Atención a la Inmigración de las Illes Balears 2001-2005 |
| II Plan integral de atención a las personas inmigradas de las Illes Balears (2005) | |
| Consejo Asesor para la Integración de las Personas Inmigrantes de las Islas Baleares (2016) | |
| Canarias | Plan Canario para la Inmigración 2002-2004 |
| Plan Canario para la Inmigración 2005-2007 | |
| Cantabria | Plan de Interculturalidad 2005 |
| Castilla-La Mancha | Plan Regional para la Integración Laboral de Inmigrantes en Castilla-La Mancha 2006-2008 |
| Plan de Acción 2009 de Castilla-La Mancha para la acogida, la integración y el refuerzo educativo de inmigrantes | |
| Castilla y León | Plan Integral de Inmigración en Castilla y León 2005-2009 |
| Pacto Social por la Gestión de la Diversidad Cultural y contra la Discriminación en Castilla y León (2018) | |
| Catalunya | I Plan Interdepartamental de inmigración 1993-2001 |
| II Pla Interdepartamental de inmigración 2001-2004 | |
| Plan de Ciudadanía e Inmigración 2005-2008 | |
| Pacto Nacional para la Inmigración (2008) | |
| Plan de ciudadanía e inmigración 2009-2012 | |
| Ley 10/2010, de 7 de mayo, de acogida de las personas inmigrantes y de las retornadas en Catalunya | |
| Plan de Protección internacional (2014) | |
| Plan para la Movilidad Internacional (2015) | |
| Plan de Ciudadanía y de las Migraciones: horizonte 2016 | |
| Plan de ciutadania y de les migraciones 2017-2020 | |
| Extremadura | II Plan para la integración social de inmigrantes en Extremadura 2008-2011 |
| Galicia | I Plan Galego de Inclusión Social 2001-2006 |
| Plan Gallego de Ciudadanía, Convivencia e Integración 2008-2011 | |
| II Plan Galego de Inclusión Social 2007-2013 | |
| Estratexia de Inclusión Social de Galicia 2014-2020 | |
| La Rioja | I Plan Integral de Inmigración de La Rioja 2004-2007 |
| Comunidad de Madrid | Plan Regional para la Inmigración de la Comunidad de Madrid 2001-2004 |
| Plan Regional para la Inmigración de la Comunidad de Madrid 2005-2009 | |
| Plan de Integración de la Comunidad de Madrid 2009-2012 | |
| Plan de Inmigración de la Comunidad de Madrid 2019-2021 | |
| Región de Murcia | Plan para la Integración Social de los Inmigrantes en la Región de Murcia 2002-2004 |
| Plan para la Integración Social de los Inmigrantes en la Región de Murcia 2005-2007 | |
| Plan para la integración social de las personas inmigrantes de la Región de Murcia 2006-2009 | |
| C. Foral de Navarra | Plan para la Integración Social de la Población Inmigrante 2002-2007 |
| Plan de Acogida a Personas Migrantes de Navarra 2021-2026 | |
| País Vasco | I Plan Vasco de Inmigración 2003-2005 |
| I Plan Vasco de Inmigración 2007-2009 | |
| III Plan de Inmigración, Ciudadanía y Convivencia Intercultural 2011-2013 | |
| Estrategía Vasca por la inmigración | |
| V Plan de Actuación en el ámbito de la ciudadanía, interculturalidad e inmigración. 2018-2020 | |
| Pacto Social Vasco para la Migración (2018) | |
| VI Plan Intercultural de Ciudadanía, Inmigración y Asilo 2022-2025 | |
| Comunidad Valenciana | Plan Valenciano de Inmigración 2004-2007 |
| Plan Director de Inmigración y Convivencia 2008-2011 | |
| Estrategia Valenciana de Migraciones 2021-2026 |
La limitada capacidad de actuación del gobierno central explica que en España se hayan desarrollado multiplicidad de planes de integración, ciudadanía y diversidad promovidos por las CC. AA., creando un auténtico patchwork de concepciones, principios y acciones de integración y acogida (Martínez de Lizarrondo, 2009). Si a esta variedad se le añade el papel clave del mundo local, y la existencia de numerosos planes, estrategias y marcos de trabajo, la fotografía que aparece es muy rica en términos de pluralidad y aproximación territorial, pero dificulta de manera clara poder responder con precisión cómo se entiende y desarrolla la acogida en España, así como determinar cómo se evalúa y se extraen aprendizajes (Pinyol-Jiménez, 2023).
En este apartado, aproximarse a la variedad de acciones e instrumentos existentes para la inclusión y la integración no puede hacerse más que con la voluntad de buscar tendencias generales, diferenciando, eso sí, las prácticas desarrolladas en el ámbito urbano y en el rural. Si se comparan las acciones existentes y desarrolladas en los últimos veinte años entre pueblos y ciudades españolas, existen diferencias claras de recursos e instrumentos, pero también de prioridades y narrativas, que se recogen de modo somero a continuación.
Las ciudades han sido, en general, espacios privilegiados para estudiar la incorporación de personas migrantes en sus nuevas sociedades (OECD, 2006), aunque ello no suponga que hayan sido actores clave en el desarrollo de las políticas migratorias de sus países. En general, y es también el caso de España, sí han sido protagonistas indiscutibles de las actuaciones para la integración de la población migrante y la gestión de la diversidad, aunque el reconocimiento de este rol no haya sido siempre explícito (Comité de las Regiones, 2010).
En relación con las actuaciones que pueden destacarse en el ámbito local urbano, existen distintas dimensiones de intervención (OSCE, 2018), entre las que cabe destacar: las acciones de acogida; de transversalización, de sensibilización y de lucha contra la discriminación. Las primeras son aquellas acciones destinadas a la población migrante directamente, y que buscan facilitar su incorporación y acomodación inicial. Estas medidas incluyendo cuestiones como información práctica de llegada (cómo funciona la ciudad, los servicios públicos, etc.), cursos de formación lingüística y también cursos de orientación cívica (EMN, 2017). Estos últimos, que han sido objeto de intensos debates por cuanto en algunos países son obligatorios (y para determinados colectivos nacionales), no son habituales en las ciudades españolas, que acostumbran a concentrar sus acciones en la información práctica (guías de acogida, por ejemplo, como la de Bilbao) y en las acciones formativas de carácter lingüístico o de competencias profesionales en algunos casos. En no pocas ciudades, además, se cuenta con una unidad especializada en la atención inicial a personas recién llegadas (como puede ser el SAIER de Barcelona). Las acciones de primera acogida se han ido ampliando y desarrollando en los últimos años, a la vez que lo hacía la realidad migratoria de las ciudades. En este sentido, se han ido ampliando a servicios de acompañamiento para la reagrupación familiar o para la atención de personas en necesidad de protección internacional, por mencionar algunos ejemplos.
Las actuaciones de transversalidad, por su parte, son aquellas que han ido desarrollándose para ayudar a todas las áreas y departamentos de la administración para adecuarse a la atención de nuevas realidades. Junto con las medidas de sensibilización, es seguramente el espacio donde la aparición del fenómeno migratorio ha permitido ampliar los discursos sobre la diversidad, convirtiendo la figura de la “persona migrante” en una categoría más de esta diversidad. Entre estas intervenciones destacan las formaciones al personal técnico de los ayuntamientos, la provisión de servicios multilingües en distintos ámbitos o la identificación de prácticas que pueden derivar en discriminaciones. En esta dimensión, las actuaciones han sido especialmente dispares, y dado que no existe un único modelo para hablar de integración (Cebolla-Boado y González-Ferrer, 2013), ni del rol específico de los municipios, tampoco es fácil evaluar qué iniciativas se han desarrollado de modo más exitoso. En cualquier caso, vale la pena mencionar que son muchas las ciudades que, desde la década de los 2000, han ido desarrollando planes de inmigración, integración, inclusión o nueva ciudadanía, para intentar dar forma integral a sus intervenciones en relación con la gestión de la integración de la inmigración (Valencia, por ejemplo, presentó su primer plan de integración de la inmigración en 2002, mientras en 2018 aprobó su plan de inmigración e interculturalidad 2019-2022).
En la dimensión de la sensibilización, por otro lado, es seguramente donde la mayoría de las ciudades han visibilizado su trabajo en relación con la integración de las personas migrantes. Se han hecho esfuerzos importantes para dar a conocer las “nuevas diversidades” de vecinos y vecinas, prestando especial atención a las fiestas tradicionales de carácter cultural o religioso (con el riesgo de folklorización que esto puede acarrear). En esta dimensión es, sin lugar a duda, donde pueden verse las acciones con objetivos (y resultados) más dispares. En muchas ocasiones, porque las acciones ponen tanto énfasis en señalar la “nueva” diversidad, que no solo esconden el pluralismo previo (y muchas veces invisibilizado) de la propia sociedad, sino que recuerdan la pertinencia diversa, y por tanto diferenciada, de las personas según su nacionalidad o “identidad” cultural (en ocasiones, conferida que no autodefinida). En este ámbito, también se encuentran otras acciones destinadas a promover la interacción entre personas con bagajes distintos, así como iniciativas para promover la lucha contra el racismo, la xenofobia y la discriminación. Desde las fiestas de la diversidad hasta las campañas de sensibilización contra el racismo, la xenofobia u otras formas de discriminación, el abanico de actuaciones comparten como objetivo que el público al que van dirigidas es toda la ciudadanía. Son iniciativas en las que el papel de las entidades de la sociedad civil es clave, por lo que su impacto también acostumbra a ir vinculado a la presencia y fortaleza de las organizaciones sociales.
Las intervenciones de lucha contra la discriminación buscan garantizar el acceso y disfrute en la provisión de servicios públicos para toda la población, sin espacios para la existencia de desigualdades. Muchas de las acciones contra la discriminación son compatibles con las acciones de sensibilización contra los discursos de odio, y buscan, con todos los mecanismos legales existentes, identificar, evitar o corregir todos aquellos espacios en los que puede existir discriminación, incluyendo su propia actuación.
Finalmente, cabe destacar que las ciudades han ido adquiriendo (o reclamando) cada vez mayor rol en su papel de gestores de las políticas de integración e inclusión, lo que ha supuesto también un incremento de su colaboración internacional en este ámbito. La existencia de redes de municipios que trabajan en cuestiones de integración y gestión de la diversidad es creciente (Lacroix, 2022), y la mayoría de ellas comparten, como característica, que son ciudades, de ámbito urbano, y con poblaciones habitualmente superiores a las 20 000 personas. La cooperación internacional en materia de gestión de la diversidad, por lo tanto, tiene también un marcado carácter urbano.
Antes de analizar algunas de las prácticas existentes en el ámbito rural para la gestión de la diversidad, especialmente vinculada al fenómeno migratorio, parece necesario señalar la existencia del discurso que vincula la inmigración como remedio a la despoblación del mundo rural. Si la construcción del debate sobre la diversidad ha tenido una perspectiva eminentemente urbana, en el ámbito rural el contrafáctico ha sido que la inmigración sería la solución para la despoblación y el abandono rural. Aun así, la mayoría de los estudios demuestran que la inmigración ha podido ser un elemento de mitigación de la despoblación rural (Collantes et al., 2010; OIM, 2018), y lo que resulta más significativo, que el fenómeno no es exclusivo de los municipios con menor número de habitantes (González-Leonardo y López-Gay, 2021), pero que la principal razón de esta despoblación es la falta de capacidad del mundo rural para retener a su población o atraer a nuevos habitantes (sean o no migrantes). En el informe de la ponencia de estudio para la adopción de medidas en relación con la despoblación rural en España, elaborado por el Senado, se señala:
Las zonas de España en vías de despoblación, más envejecidas y por ende con una economía en general menos dinámica, les resulta menos fácil que al resto del país atraer inmigrantes extranjeros […]. (Senado de España, 2015, p. 44)
Eso sí, el informe apunta que es imprescindible la implicación de las administraciones y la población autóctona ante la llegada e integración de personas que aterricen nuevas al territorio, para facilitar al máximo su participación en las distintas actividades económicas, culturales, sociales y medioambientales del mismo (Senado, 2015). A pesar de ello, las actuaciones y acciones de integración e inclusión para personas migrantes en el mundo rural siguen siendo escasas, y los estudios sobre las mismas son menos y con menor sistematización que los existentes sobre el mundo urbano (Kalantaryan et al., 2021).
En muchos municipios rurales de tamaño mediano o pequeño, las acciones de primera acogida existentes (formación lingüística o información general) están o bien en manos de entidades sociales o bien financiadas por administraciones locales supramunicipales (como Mancomunidades, Diputaciones o Consejos comarcales). En ocasiones, los procesos de acogida iniciales se desarrollan a través de otros servicios públicos como el sistema educativo o de salud, que no siempre están preparados o cuentan con suficientes recursos para atender a esta nueva población residente (OIM, 2018). La falta de intervenciones integrales de acogida puede suponer un freno a los procesos de integración, generando mayores vulnerabilidades para las personas recién llegadas. Existen, además, municipios rurales con una elevada presencia de población migrante con carácter estacional (vinculado al trabajo agrícola), que no cuentan con ningún tipo de actuación para atender y acoger la llegada de esta población, y evidentemente tampoco para facilitar su instalación de larga duración en el territorio.
Si las acciones vinculadas a la dimensión de acogida son reducidas, cuando no nulas, también se puede decir lo mismo sobre las actuaciones en el ámbito de la transversalidad. Es verdad, sin embargo, que en varios municipios rurales se observan nuevas redes de colaboración entre entidades sociales y actores socioeconómicos para facilitar y promover la integración laboral de las personas migrantes, que es seguramente el sector al que mayor atención se le ha prestado en el ámbito rural (OIM, 2018). Muchas de estas medidas, por otro lado, son participadas por entidades de la sociedad civil con presencia territorial de carácter provincial o estatal (como, por ejemplo, el programa Nuevos Senderos para la integración sociolaboral de familias inmigrantes en zonas rurales despobladas de la Fundación CEPAIM).
Las actividades de sensibilización también acostumbran a tener menor incidencia, y están usualmente vinculadas por igual a actuaciones territoriales. En este espacio, las mancomunidades, diputaciones y las propias comunidades autónomas juegan un papel clave para cubrir aquellas carencias de la actuación municipal. Finalmente, en la dimensión de la lucha contra la discriminación, cabe apuntar que se considera un reto, especialmente para las zonas rurales españolas, la lucha contra la precariedad y explotación laboral en el sector primario (Natale et al., 2019).
La realidad del mundo rural en relación con la gestión de la diversidad migratoria se encuentra, por lo tanto, en una etapa muy embrionaria si se la compara con las prácticas aplicadas en las ciudades. No se trata de negar la existencia de interesantes ejemplos y experiencias de carácter rural, pero lo cierto es que su menor análisis y sistematización hacen también más compleja su divulgación. En este sentido, la propia Comisión Europea ha empezado a prestar atención a esta cuestión, señalando la naturaleza temporal (y en ocasiones irregular) del trabajo de las personas migrantes en el ámbito agrícola dificulta la cuantificación de necesidades y ámbitos de intervención (Natale et al., 2019). También que la intervención territorial en el mundo rural requiere de una visión local y regional más que nacional, lo que no siempre sucede. Y finalmente, que las autoridades locales pueden estar menos equipadas para responder a los procesos bidireccionales de integración e inclusión, a la vez que son imprescindibles para el éxito de estos. Superar estas limitaciones son retos clave para poder continuar hablando de la gestión de la diversidad en el ámbito rural.
Con todo este marco de trabajo y actuaciones en mente, se ha medido lo que representa la diversidad por orígenes en los municipios españoles, distinguiendo entre las principales regiones urbanas y rurales del país (mapa 1, anexo).
Las regiones urbanas son definidas a partir de la reciente publicación Áreas Urbanas en España 20211, del Ministerio de Transportes, Movilidad y Agenda Urbana (2021). Partiendo de las 86 áreas mayores de 50 mil habitantes identificadas en la publicación se han seleccionado las 15 que superan, según esta fuente, el medio millón de habitantes en el año 2020: Madrid, Barcelona, Valencia, Sevilla, Málaga, Bilbao, Asturias, Zaragoza, Alicante-Elche, Murcia, Bahía de Cádiz, Vigo-Pontevedra, Palma de Mallorca, Las Palmas de Gran Canaria y Granada, con la intención de mostrar la situación de las principales aglomeraciones urbanas del país2. Se trata de un conjunto de 441 municipios, en los que residen 22 064 376 habitantes en 2021, que representan el 46,6% de la población del país. Estas áreas varían entre el máximo de los 165 municipios del área urbana de Barcelona o los 52 de la de Madrid, al mínimo de los 4 municipios de la de Las Palmas de Gran Canaria, o los 6 de Alicante-Elche o Bahía de Cádiz.
En el caso de los municipios considerados como rurales, para su delimitación se han tenido en cuenta dos criterios: 1) la no pertenencia a un área urbana, también de aquellas de menor dimensión aquí no contempladas, y 2) un tamaño inferior a los dos mil habitantes, con el propósito de incidir más en aquellos municipios con mayor exposición a la despoblación. Se cuenta entonces con 5824 municipios, que se han agrupado por comunidad autónoma para la presentación de los resultados, y en los que habitan 2 639 025 personas, tan solo el 5,6% de la población de España. No se considera en este análisis a los 1870 municipios que no se encuentran en una u otra categoría, donde reside el 47,9% restante de población.
Para el análisis de la diversidad, y siguiendo los trabajos de Ludi Simpson (2007), se utiliza el ya mencionado índice de Simpson (1949), también llamado Reciprocal diversity index, que pondera la presencia de distintos grupos en un mismo territorio. La formulación del índice de Simpson (IDS) es la siguiente:

Donde S se refiere al número total de casos o grupos posibles, y P(i) es el tamaño del grupo, expresado como la proporción de cada grupo de población respecto el total en el área de estudio. Los resultados se muestran en una escala numérica entre el mínimo de 1 y el máximo de 8 coincidente con el número de grupos considerados, siendo este último el indicador de la máxima diversidad. Así este máximo se alcanzaría cuando todos los grupos tuvieran una misma representación equitativa, con lo que la sola presencia de un grupo de inmigrantes en valores elevados no representa un aumento de la diversidad.
Se han utilizado ocho grupos distintos en función del lugar de nacimiento3, y definidos según los siguientes criterios: 1) personas nacidas en la misma provincia donde residen; 2) nacidas en el resto de España; 3) nacidas en países de la Unión Europea y otros países con elevados índices de desarrollo4; 4) nacidas en el resto de Europa; 5) nacidas en el Norte de África (con mayoría aplastante de la población magrebí); 6) nacidas en el África Subsahariana; 7) nacidas en Latinoamérica; y 8) nacidas en Asia y el resto del mundo. Como se observa, las personas nacidas en España han sido divididas entre las nacidas en la misma provincia y las nacidas en otra provincia, lo que nos permite contabilizar a los migrantes internos como elementos que incrementan la diversidad de las distintas zonas analizadas.
Este índice de diversidad se ha calculado para el conjunto de las áreas metropolitanas y de municipios rurales empleando los distintos grupos quinquenales de edad, lo que nos permite identificar el impacto de las distintas oleadas migratorias, tanto internas como internacionales, en la composición de la población, y para tres momentos temporales, 2001, 2011 y 2021, lo que nos facilita la comparación temporal. Para ello se han utilizado una explotación específica de los microdatos del Padrón Continuo de Población del Instituto Nacional de Estadística (INE)5. Además de esta escala metropolitana agregada se ha considerado también la escala municipal, tanto para las áreas metropolitanas como las rurales, y la inframunicipal, en este último caso calculando la diversidad por sección censal en las 15 áreas metropolitanas, únicos lugares donde este cálculo es posible.
Antes de proseguir debemos advertir sobre dos condicionantes metodológicos introducidos por nuestra elección. Primero, la decisión de reducir al umbral de los 2000 habitantes la definición de rural, lo que excluye áreas rurales caracterizadas por el tamaño del municipio donde se excede ese límite, abundantes en algunas comunidades autónomas como Andalucía, Galicia o Murcia. En segundo lugar, la elección de las categorías consideradas, al ser estandarizadas para las regiones urbanas y rurales, han excluido el grupo de los nacidos en la misma provincia, pero originarios de municipios con mayor población, significativos en algunas de las áreas urbanas y rurales estudiadas, y que visibilizarían procesos de suburbanización y contraurbanización. En ambos casos han sido decisiones promovidas para obtener una clasificación más accesible para todos los casos.
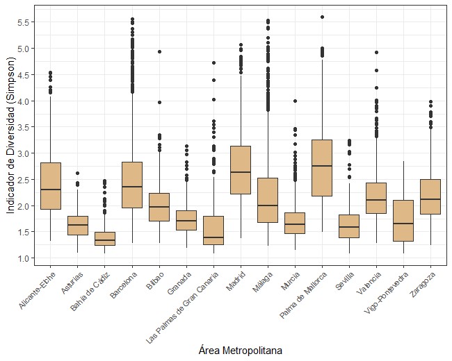
Los resultados muestran diferencias en la intensidad de la diversidad entre distintas áreas metropolitanas y según la edad en una misma área y año (figura 1). Palma, Madrid y Barcelona son las tres metrópolis con mayor diversidad, que se alcanzan en el año 2021 (con resultados del 2,83; 2,64 y 2,43 respectivamente). En el extremo opuesto se sitúan Sevilla, Asturias y Bahía de Cádiz (1,58; 1,62 y 1,39 en cada caso). En algunas de estas últimas áreas incluso la diversidad desciende en las edades más jóvenes, señal de un menor impacto de las migraciones internacionales en comparación con las migraciones interiores de décadas pasadas. En las zonas metropolitanas de mayor diversidad se observa un fuerte crecimiento de ésta entre 2001 y 2011, coincidiendo con el primer boom migratorio internacional, mientras que el aumento entre 2011 y 2021 es menor y únicamente adquiere una importancia significativa en los casos de Bilbao y Barcelona, y en menor medida en Madrid. Esto indica que en estas tres áreas urbanas las migraciones de los últimos años han tenido un impacto mucho mayor que las de inicios de siglo, como se verifica para la ciudad de Barcelona (Domingo et al., 2021).

Fuente: elaboración propia, microdatos del Padrón Continuo, 2001, 2011 y 2021 (INE)

Fuente: elaboración propia, microdatos del Padrón Continuo, 2001, 2011 y 2021 (INE)
Por edades, la mayor diversidad se produce en los 30-34 años, donde coincide un impacto notable de los flujos migratorios recientes con generaciones demográficamente vacías, es decir, con pocos efectivos al nacimiento, además de unos perfiles de población inmigrada integrada por un elevado número de orígenes. Entre 2011 y 2021 se constata en algunos casos el desplazamiento de las edades con mayor diversidad, de los 50-54 años a los 60-64, como sucede en el caso del área metropolitana de Barcelona. En estas edades, en 2011 se solapaba el efecto de la inmigración internacional llegada desde finales de siglo XX con los últimos migrantes originados con las migraciones interiores que les precedieron. La diversidad en la composición de la población depende de la concatenación de distintas oleadas migratorias, tanto internas como internacionales, y se manifiesta de forma distinta según la edad.
En un segundo momento se ha focalizado la atención en las áreas rurales. Se cuenta con 2 639 025 habitantes, de los cuales 631 091 son nacidos en otra provincia de la que residen en la actualidad6, y 230 734 en el extranjero (el 8,7% de los residentes). La presencia de inmigrantes extranjeros en estos municipios rurales es muy desigual, desde medias del 19,8% y 15,8% en las Baleares y Madrid, a mínimos del 3% y 5% en Extremadura y Asturias. Observando la figura 2, la primera constatación es que los valores máximos no se alejan de los presentados en las áreas metropolitanas. Vuelven a ser las Baleares, Cataluña y Madrid donde se registran los más elevados (2,02; 2,05 y 1,95), aunque destacan también los municipios rurales de La Rioja (1,85), Aragón (1,90) y Castilla La Mancha (1,83). En estos últimos los niveles en las edades más jóvenes son muy superiores a los de las tres primeras comunidades. Esto se debe a un menor número de efectivos autóctonos, y por lo tanto a un peso mayor de la diversidad entre estas generaciones. Al contrario, la mínima diversidad se registra en Asturias (1,34), Cantabria (1,48) y Murcia (1,28). En las Illes Balears y Cataluña los indicadores de partida eran ya significativos en 2001, aunque en general hay un fuerte crecimiento en 2011. En 2021 se percibe un proceso de envejecimiento, con el desplazamiento de los valores de diversidad en una década, siendo Canarias, Navarra y el País Vasco las zonas con mayor crecimiento de la diversidad en la última década. A diferencia de lo que sucede en las áreas metropolitanas, los espacios rurales partían muchas veces de niveles muy reducidos de diversidad, con lo que la distancia entre las generaciones más mayores (protagonistas del éxodo rural) y las actuales, es mucho mayor.
Si cambiamos de escala y atendemos a lo que sucede según el municipio de residencia (figura 3), destacan las altas cotas de diversidad de municipios del área urbana de Málaga. Si la ciudad central presenta un resultado relativamente bajo (1,85), los municipios urbanos de Fuengirola (4,23), Benalmádena (3,51), Mijas (3,41) o Torremolinos (3,19) se sitúan entre los de mayor diversidad en España. Estos municipios combinan porcentajes destacados de migrantes internos e internacionales, en su mayoría europeos comunitarios o latinoamericanos. Entre los municipios más diversos encontramos Calvià (3,93) y Palma (2,88) en el área urbana de Palma de Mallorca, l’Hospitalet de Llobregat (3,23), Santa Coloma de Gramenet (3,12), Canovelles (3,02), Castelldefels (2,89), Sitges (2,88) y Barcelona (2,87) en la de Barcelona, y Madrid (2,87) y Parla (2,83) en la de Madrid.
Con mayor detalle, en su composición destaca el municipio de Canovelles por el peso de los inmigrantes del Magreb y del África Subsahariana, y los de Barcelona y l’Hospitalet de Llobregat por los de asiáticos. Los latinoamericanos están más presentes en l’Hospitalet de Llobregat y Madrid. En general, destaca el número de ciudades con prominente diversidad en la provincia de Barcelona, con perfiles por orígenes muy diferenciados, en cambio, en el caso de la de Madrid es la misma capital la que ostenta la mayor diversidad.

Fuente: elaboración propia, microdatos del Padrón Continuo de 2021 (INE)
En el caso de los municipios rurales, la máxima diversidad se produce en municipios de Castilla-La Mancha, Castilla y León y Cataluña. La mayoría de ellos son municipios muy pequeños ya que no alcanzan el centenar de habitantes, con más de un 30% de su población nacida en el extranjero, en su mayoría en el Magreb y el resto de Europa, vinculados seguramente con la actividad agrícola. Los europeos comunitarios son importantes en municipios de la Comunidad Valenciana y de las Baleares. Los valores de diversidad alcanzados en las áreas rurales superan incluso a los municipios urbanos, con máximos en Carabías (4,22) y La Vajol (3,77). El reducido tamaño de población significa que sea posible alcanzar más fácilmente elevados niveles de diversidad. En estos casos, esta diversidad se produce muchas ocasiones entre integrantes de distintas generaciones, con una población inmigrada mucho más joven que la autóctona envejecida.

Fuente: elaboración propia, microdatos del Padrón Continuo de 2021 (INE)
Esta aproximación, en el caso de los municipios de mayor tamaño, puede realizarse también por sección censal (figura 4). En primer lugar, tenemos que constatar como la máxima diversidad se produce a esta escala, superando valores del 5,5 en secciones de Barcelona, Málaga y Palma, con dígitos también elevados en Alicante-Elche, Bilbao, Las Palmas, Madrid y Valencia. Es en las áreas centrales de las grandes metrópolis donde la diversidad alcanza mayores valores, con un crecimiento continuo desde inicios de siglo (Galeano y Bayona, 2016). Entre ellas destaca el caso de la ciudad de Barcelona, con 15 de las 25 secciones con mayor diversidad entre las áreas urbanas de España. No aparece entre estas la sección con mayor proporción de inmigrantes de la ciudad (con el 83,8%), que en cambio muestra un nivel moderado de diversidad (2,80) debido a que la mayor parte de extranjeros son de origen asiático. En algunas de estas secciones, la mayor presencia de inmigrantes internacionales coincide con un peso menor de los migrantes internos, lo que también reduce la diversidad. Por lo tanto, la diversidad va más allá de la presencia de inmigrantes extranjeros, y alude a su composición por origen. Depende también de la edad, y se manifiesta de forma más importante entre las edades más jóvenes, tanto en ámbitos urbanos como en los municipios rurales.
A partir de los datos empíricos de la medida de la diversidad en España, destacan tres características: primera, el más que moderado nivel de diversidad a cualquier escala territorial, si bien cuanto más detallada es la escala esta aumenta; la segunda, es la presencia de niveles no muy distantes en el ámbito urbano y en los municipios menos poblados del ámbito rural; y la tercera, es la disparidad entre las generaciones, siendo las más jóvenes las que acusan una mayor diversificación —y eso a pesar de que también se ha considerado la migración interna— también en los dos ámbitos analizados. Dicotomía más acentuada, sin embargo, en los municipios rurales de menos de 2000 habitantes.
Si pensamos en el cálculo de la diversidad, es decir, en el equilibrio ponderado de diferentes grupos, podemos deducir que en muchos de los ámbitos observados —sea municipios rurales, sea la sección censal para los urbanos—, lo que oculta ese nivel relativamente moderado de diversidad es una creciente polarización de la población por origen que, además, adopta la forma de diferencia generacional, y no pocas veces suponemos —aquí no lo hemos analizado—, de división por sexo de la población, que podría ser de carácter inverso en la ciudad y el campo. Eso indicaría dos elementos a tener en cuenta en el diseño de políticas que se apunten a la interculturalidad. Primero que, a parte de la relación intercultural, las políticas de acomodación de la población inmigrada deberían considerar las relaciones intergeneracionales y de género como un elemento axial de las propias políticas, acercándose de este modo a la perspectiva interseccional. El segundo es el carácter dinámico de los equilibrios en la definición de la diversidad poblacional relacionados con el metabolismo demográfico y no solo con el aumento de la inmigración. Por ejemplo, la mortalidad puede hacer disminuir o aumentar la diversidad dependiendo del grupo al que más afecta, lo que debería ser objeto de ulteriores investigaciones.
En el apartado dedicado a las prácticas, ha quedado patente que las actuaciones por la “diversidad” en el ámbito urbano han ido transformándose en las últimas décadas, avanzando en un delicado equilibrio entre la comprensión de la gestión de la diversidad como un valor necesario en el diseño y la práctica de la acción pública en una sociedad plural, pero con el riesgo de banalizar la diversidad y ocultar bajo su discurso las desigualdades de carácter material. Las prácticas en el ámbito rural, llegaron con posterioridad a las decisiones tomadas por la administración a diferentes escalas sobre el ámbito rural. Y eso, de forma independiente al impacto que la inmigración en general y el incremento de la pluralidad por origen en particular tuvo en el tiempo, con una temprana llegada y difusión de la inmigración internacional en las zonas rurales debido a la demanda de mano de obra para sectores como la agricultura intensiva, pero también de las industrias de procesamiento agroalimentario.
En este sentido, para bien y para mal, los ejemplos de municipios rurales de mayor población fueron decisivos también en la reflexión sobre las prácticas políticas a adoptar desde momentos muy tempranos, con casos como El Ejido en Almería o Guissona en Lleida. No obstante, hemos visto que muchas de esas prácticas, centradas en la sensibilización, reinciden en el riesgo de acabar folklorizando la diferencia, como contrapartida al olvido del eje de la desigualdad económica. También ha quedado claro que el “descubrimiento” de la diversidad por parte de diferentes administraciones en el ámbito rural se ha visto potenciado por el auge de la problematización de la despoblación rural, lo que se repite en toda Europa, con diferentes carices dependiendo de la realidad histórica y características de poblamiento de cada país.
El inconveniente de ese “descubrimiento” tardío en el ámbito rural se incrementa cuando pretende presentarse la inmigración como una “solución al problema del despoblamiento”, es decir en la instrumentalización de la pluralidad poblacional, como ya se hizo en las ciudades con el discurso que presentaba la diversidad como un elemento que favorecía la competitividad entre metrópolis globalizadas. Por no hablar de la ocurrencia de considerar que las áreas despobladas son el lugar idóneo para acoger a los refugiados. A parte de la dificultad obvia de cómo fijar la población a un territorio que sigue siendo deficitario en servicios, de la que la vertiente ética no es menor, hay que considerar el peligro de no volver a solapar las diferencias etnoculturales con las desigualdades económicas. Pero, sobre todo, el principal reto es que un análisis desvirtuado de las causas del despoblamiento centrado exclusivamente en las consecuencias y no en las causas estructurales del mismo, que utiliza el discurso de la diversidad y la sensibilización como un mecanismo de aceptación por parte de la población nativa, enmascara tanto los posibles conflictos que puedan surgir como impide aplicar soluciones reales al despoblamiento rural.
Más allá de las prácticas y narrativas que se han ido construyendo en los distintos espacios urbanos y rurales, cabe apuntar que la gestión de la diversidad comparte retos que van más allá del ámbito territorial en el que se identifique la misma.
Por un lado, hablar de diversidad sin enfatizar las cuestiones relacionadas con la igualdad es un riesgo que incrementa el riesgo de banalización. Poner el énfasis en cuestiones que diferencian a la población es importante tanto porque sirve para visibilizar (y hacer pedagogía) sobre realidades muchas veces invisibilizadas, menospreciadas o directamente discriminadas, como para trabajar en la protección de derechos de todas las personas sin caer en ningún tipo de discriminación y tal como apuntan nuestros marcos normativos internacionales. Pero si el reconocimiento de la diversidad es un objetivo en sí mismo, se puede olvidar la necesidad de avanzar en la lucha por la igualdad de derechos y la protección de libertades fundamentales para todas las personas. En este sentido, cabe preguntarse por qué en los últimos años, cuando el discurso sobre la diversidad ha tomado más espacio que nunca en nuestras sociedades, no lo ha hecho al mismo tiempo el debate, por ejemplo, sobre el derecho de voto de las personas migrantes (Aja y Moyá, 2008).
Por otro lado, enfatizar la diversidad, más allá del compromiso ético y de derecho que se ha apuntado, puede servir para reforzar espacios individualistas que no sumen esfuerzos para la reducción de las desigualdades y las discriminaciones entre todos los miembros de una sociedad. Esta banalización del discurso de la diversidad, junto con su folklorización o el tokenismo (Pain y Francis, 2003) constituyen riesgos que deben considerarse, puesto que plantean el uso político de la “diversidad” que se comentan en el apartado 2 de este artículo. En este sentido, la combinación de los discursos sobre la diversidad, la cohesión social y la convivencia solo adquieren sentido cuando se desarrollan los instrumentos y herramientas que cambien las situaciones estructurales, que reduzcan desigualdades y que eviten discriminaciones insostenibles en las sociedades democráticas.
Este trabajo se enmarca dentro del proyecto de I+D+I Metabolismo demográfico, migraciones y cambio social en España (PID2020-113730RB-I00), financiado por el Ministerio de Ciencia e Innovación y dirigido por Andreu Domingo y Jordi Bayona. Jordi Bayona es profesor Lector Serra Húnter en el Departamento de Geografía de la Universidad de Barcelona.
Aja, E. y Moya, D. (2008). El derecho de sufragio de los extranjeros residentes. En Anuario CIDOB de la Inmigración (pp. 64-81). CIDOB.
Bhabha, H. K. (2011). Culture’s in-Between. En S. Hall y P. du Gay (eds.), Questions of Cultural Identity (pp. 53-60). Sage. https://doi.org/10.4135/9781446221907.n4
Blanco, C. (2001). La integración de los inmigrantes. Fundamentos para abordar una política global de intervención. Migraciones, (10), 207-248. https://revistas.comillas.edu/index.php/revistamigraciones/article/view/4380
Cantle, T. (2001). Report of the Independent Review Team on Community Cohesion. HMSO.
Cantle, T. (2005). Community cohesion: A New Framework for Race and Diversity. Palgrave Macmillan. https://doi.org/10.1057/9780230508712
Cebolla-Boado, H. y González-Ferrer, A. (2013). Inmigración: ¿integración sin modelo? Alianza Editorial.
Collantes, F., Pinilla, V., Sáez, L. A. y Silvestre, J. (2010). El impacto demográfico de la inmigración en la España rural despoblada [Documentos de Trabajo, n.º 30]. Real Instituto Elcano de Estudios Internacionales y Estratégicos.
Comisión Europea. (2020). Plan de Acción en materia de Integración e Inclusión para 2021-2027. COM (2020) 758 final.
Comité de las Regiones. (2010). Integración de los inmigrantes: integración de los inmigrantes en las zonas urbanas. Grupo de trabajo sobre Integración de los inmigrantes. CoR.
Consejo de Europa. (2017). Bridging the equality, diversity and inclusion agendas: background paper. Intercultural Cities. Council of Europe.
Domingo, A., Galeano, J. y Bayona, J. (2021). La migració estrangera a Barcelona: de la crisis financera del 2008 a la pandèmia de 2020. Barcelona Societat, revista de coneixement i anàlisi social, (28), 26-40.
Durkheim, E. (2012). La división del trabajo social. Minerva Ediciones.
EMN. (2017). Ad-Hoc Query on Integration measures regarding language courses and civic integration – Part 2. EMN.
Fainstein, S. (2005). Cities and Diversity: Should we want? Can we plan for it? Urban Affairs Review, 41(1), 3-19. https://doi.org/10.1177/1078087405278968
Faist, T. (2009). Diversity – a new mode of incorporation? Ethnic and Racial Studies, 32(1), 171-190. https://doi.org/10.1080/01419870802483650
Ferrero-Turrión, R. y Pinyol-Jiménez, G. (2009). Immigration and the construction of Public Philosophy(ies) of Integration in Spain. En E. Guild, K. Groenendijk y S. Carrera (eds.), Illiberal liberal states: immigration, citizenship, and integration in the EU (pp. 337-356). Ashgate Publishing. https://doi.org/10.4324/9781315587813
Florida, R. L. (2002). The Rise of the Creative Class. Perseus Books Group.
Galeano, J. y Bayona, J. (2016). La diversidad en las metrópolis españolas. En A. Domingo (ed.), Inmigración y diversidad en España. Crisis económica y gestión municipal (pp. 49-74). Icària.
Giguère, S. (2006). Integrating Immigrants: Finding the Right Policy Mix to Tackle a Governance Problem. En From Immigration to Integration. Local Solutions to a Global Challenge (pp. 21-31). OECD. https://doi.org/10.1787/9789264028968-3-en
González-Leonardo, M. y López-Gay, A. (2021). Del éxodo rural al éxodo interurbano de titulados universitarios: la segunda oleada de despoblación. Ager: Revista de estudios sobre despoblación y desarrollo rural, (31), 7-42. https://doi.org/10.4422/ager.2021.01
Kalantaryan, S., Scipioni, M., Natale, F. y Alessandrini, A. (2021). Immigration and integration in rural areas and the agricultural sector: An EU perspective. Journal of Rural Studies, 88, 462-472. https://doi.org/10.1016/j.jrurstud.2021.04.017
Kymlicka, W. (2010). The rise and fall of multiculturalism? New debates on inclusion and acommodation in diverse societies. En S. Vertovec y S. Wessendorf (dirs.), The multiculturalism Blackslash. European discourses, policies and practices (pp. 32-49). Routledge. https://doi.org/10.1111/j.1468-2451.2010.01750.x
Kymlicka, W. (2012). Multiculturalism: Success, Failure, and the Future. Migration Policy Institute.
Kymlicka, W. (2016). Defending diversity in an era of populism: Multiculturalism and interculturalism compared. En T. Modood, N. Meer y R. Zapata-Barrero (eds.), Multiculturalism and Interculturalism: debating the dividing lines (pp. 158-177). Edinburgh University Press.
Lacroix, T. (2022). Migration-related city networks: a global overview. Local Government Studies, 48(6), 1027-1047. https://doi.org/10.1080/03003930.2021.1938553
Larsen, C. A. (2013). The Rise and Fall of Social Cohesion. The Construction and De-construction of Social Trust in the USA, UK, Sweden and Denmark. Oxford University Press. https://doi.org/10.1093/acprof:oso/9780199681846.001.0001
Laval, C. y Dardot, P. (2009). La nouvelle raison du monde. Éditions la Découverte. https://doi.org/10.3917/dec.dardo.2010.01
Martínez de Lizarrondo, A. (2009). La integración de inmigrantes en España: el modelo patchwork. Migraciones, (26), 115-146. https://revistas.comillas.edu/index.php/revistamigraciones/article/view/1277
Meer, N. y Modood, T. (2012). How does Interculturalism Contrast with Multiculturalism? Journal of Intercultural Studies, 33(2), 175-96. https://doi.org/10.1080/07256868.2011.618266
Michaels, W. B. (2006). The trouble with diversity: How we learn to Love identity and ignore inequality. Metropolitan Books/Henry Holt and Company.
Ministerio de Transporte, Movilidad y Agenda Urbana, y Dirección General de vivienda y suelo. (2021). Áreas urbanas en España 2021. Centro de publicaciones del Ministerio de Transportes, Movilidad y Agenda Urbana y Secretaría General Técnica. https://www.mitma.gob.es/portal-del-suelo-y-politicas-urbanas/atlas-estadistico-de-las-areas-urbanas
Natale, F., Kalantaryan, S., Scipioni, M., Alessandrini, A. y Pasa, A. (2019). Migration in EU Rural Areas. Publications Office of the European Union.
Niessen, J. (2000). Diversity and cohesion: new challenges for the integration of immigrants and minorities. Council of Europe.
OECD. (2006). From Immigration to Integration. Local Solutions to a Global Challenge. OECD Publishing. https://doi.org/10.1787/9789264028968-en
OIM. (2018). Estudio sobre Situación de la población inmigrante en las zonas rurales españolas y su contribución al desarrollo rural. OIM-España.
OSCE. (2018). Local Authorities’ Migrant Integration Guide. OSCE-ODIHR.
Pain, R. y Francis, P. (2003). Reflections on participatory research. Area, 35(1), 46-54. https://doi.org/10.1111/1475-4762.00109
Pinyol-Jiménez, G. (2023). Personas migrantes en España. Una aproximación a las políticas de acogida [Documento de Trabajo n.º 224]. Laboratorio de alternativas.
Putnam, R. D. (2000). Bowling Alone. The Collapse and Revival of American Community. Simon and Schuster. https://doi.org/10.1145/358916.361990
Putnam, R. D. (2007). E Pluribus Unum: Diversity and Community in the Twenty-first Century. The 2006 Johan Skytte Prize Lecture. Scandinavian Political Studies, 30(2), 137-174. https://doi.org/10.1111/j.1467-9477.2007.00176.x
Scholten, P. y Penninx, R. (2016). The multilevel governance of migration and integration. En B. Garcés y R. Penninx (eds.), Integration processes and policies in Europe (pp. 91-108). Springer, Cham. https://doi.org/10.1007/978-3-319-21674-4_6
Senado de España. (2015). Informe de la Ponencia de Estudio para la adopción de medidas en relación con la despoblación rural en España. Boletín oficial de las Cortes Generales. Senado X Legislatura, 505 de 17 de abril.
Simpson, E. H. (1949). Measurement of Diversity. Nature, (30), 163. https://doi.org/10.1038/163688a0
Simpson, L. (2007). Ghettos of the Mind: The empirical Behaviour of Indices of Segregation and Diversity. Journal of the Royal Statistical Society, 170(2), 405-424. https://doi.org/10.1111/j.1467-985X.2007.00465.x
Solanes, Á. (2004). La realidad local de la inmigración: el padrón municipal como forma de integración. Cuadernos electrónicos de filosofía del derecho, (10).
Vertovec, S. (2007). Super-diversity and its implications. Ethnic and Racial Studies, 30(6), 1024-1054. https://doi.org/10.1080/01419870701599465
Vertovec, S. (2012). “Diversity” and Social Imagery. European Journal of Sociology, 53(3), 287-312. https://doi.org/10.1017/S000397561200015X
Zapata-Barrero, R., Domingo, A. y Pinyol-Jiménez, G. (2020). Spain: Multiple-Governance and Integration Policies in Diverse Socio-Demographic Contexts. En M. Duszczyk, M. Pachocka y D. Pszczółkowska-Mościcka (eds.), Relations between Immigration and Integration Policies in Europe: Challenges, Opportunities and Perspectives in Selected EU Member States (pp. 125-145). Routledge. https://doi.org/10.4324/9780429263736-8
Zapata-Barrero, R. (2015). Interculturalism: Main hypothesis, theories and strands. En R. Zapata-Barrero (ed.), Interculturalism in cities (pp. 3-19). Edward Elgar Publishing. https://doi.org/10.4337/9781784715328.00007
Zetter, R., Griffiths, D., Sigona, N., Tauhid, P. y Bey, R. (2006). Immigration, social Cohesion and Social Capital: What are de links? Joseph Rowntree Foundation.
