Existe una corriente internacional cada vez más creciente, que viene incrementando el interés por comprender y estudiar las causas que motivan los desplazamientos de seres humanos y no humanos en regiones del mundo donde a menudo entran en conflicto modelos sociopolíticos y económicos divergentes. El Panel Intergubernamental para el Cambio Climático (IPCC, por sus siglas en inglés), en su 6.º Informe de Evaluación, destaca que la variabilidad climática como consecuencia de la actividad humana ha aumentado la intensidad, frecuencia y duración de eventos extremos en las últimas décadas, pronosticando que la tendencia continuará y se agravará en el futuro cercano, sumando así el impacto del cambio climático a los factores causales que inciden en las dinámicas y patrones migratorios (IPCC, 2014; IPCC, 2022).
Es necesario establecer el marco dialéctico bajo el acuerdo y definición de los conceptos involucrados en el presente trabajo. Uno de estos, enfoque central de esta investigación, es el de cambio climático. Existe una idea intuitiva al respecto, que más que menos se ajusta a la definición formal científica. No obstante, el matiz incorporado en las últimas décadas del siglo pasado es el de la intervención antrópica en su aceleración. La Convención Marco de Naciones Unidas para el Cambio Climático (CMNUCC, 1992) lo define en su Artículo 1.2 como “un cambio de clima atribuido directa o indirectamente a la actividad humana que altera la composición de la atmósfera mundial y que se suma a la variabilidad natural del clima observada durante períodos de tiempo comparables”. Este fenómeno ocasiona múltiples efectos, como son la disminución de glaciares, la elevación del nivel del mar y el aumento de su temperatura, así como el incremento en la frecuencia de olas de calor, las fuertes precipitaciones, la ampliación de las zonas afectadas por la sequía y el aumento de la intensidad de los ciclones tropicales (IPCC, 2007a). La novedad en la historia de la Tierra en tiempo geológico de estos efectos es, por lo tanto, la intervención humana que produce su aceleración, generando, asimismo, una amenaza de origen antrópico que, bajo determinadas condiciones de vulnerabilidad, puede desencadenar desastres (Instituto de Estudios sobre Conflictos y Acción Humanitaria, 2019).
Adoptando la definición de riesgo de desastre como:
[...] posibilidad de que se produzcan muertes, lesiones o destrucción y daños en bienes en un sistema, una sociedad o una comunidad en un período de tiempo concreto, determinados de forma probabilística como una función de la amenaza, la exposición, la vulnerabilidad y la capacidad. (Estrategia Internacional para la Reducción de Desastres, 2009)
resulta de interés enlazar con una hipótesis sobre las causas migratorias y desarrollar estudios que permitan comprender mejor cómo estos factores de riesgo puedan estar relacionados con las mismas. La conjunción de los distintos factores produce una relación estrecha descrita en investigaciones previas (Brocks, 2006; McLeman y Smit, 2006). No obstante, la migración por razones climáticas no es una novedad. Observaciones arqueológicas sugieren que, frecuentemente, los asentamientos humanos han seguido un patrón de respuesta a cambios climáticos. A lo largo de la historia de la humanidad, las distintas civilizaciones y pueblos se han desplazado motivados en algunas ocasiones directamente por cambios en el clima más o menos bruscos, o más o menos sostenidos en períodos temporales. Existen muchos casos paradigmáticos de esto, desde el surgimiento de las primeras grandes sociedades urbanas fruto de la migración a lugares próximos a grandes recursos de agua; o más recientemente en la historia, en la llamada Pequeña Edad de Hielo que provocó desplazamientos de diferentes pueblos hacia lugares más cálidos (Dupont y Pearman, 2006; Brown, 2008).
Las relaciones e interrelaciones entre los efectos del cambio climático, la salud, los conflictos, el medioambiente, la seguridad, los recursos y las migraciones son complejas e intrincadas (Brown, 2008; Warner, 2001; Rejas et al., 2015); sin embargo, algunas de las variables que se manifiestan debido a la variabilidad climática, como el aumento de temperatura, los cambios en los patrones de precipitación, la humedad, la vegetación, los suelos etc., pueden ser medidas a partir de datos geoespaciales procedentes de sistemas de Observación de la Tierra, aportando de manera complementaria evidencias científicas al análisis de los desplazamientos humanos en lo referente a los hábitats y territorios que ocupan. Según observaciones de satélite, desde principios de la década de 1980, por ejemplo, en muchas regiones hay confianza alta de que ha habido una tendencia hacia un “reverdecimiento” temprano de la vegetación en primavera vinculado a estaciones térmicas de crecimiento más prolongadas, debido al calentamiento actual (IPCC, 2007b).
Los cambios en las condiciones climáticas están incrementando exponencialmente los problemas relacionados con la disponibilidad de recursos naturales esenciales para los medios de vida, la seguridad alimentaria o la salud (IPCC, 2014; Organización de las Naciones Unidas para la Agricultura y Alimentación, 2012). Junto con importantes factores sociales, económicos y políticos, esto se presenta como un factor de presión en las poblaciones dependientes del entorno que puede conducir a desplazamientos (variantes temporal y espacial) como estrategia para su subsistencia, o desembocar en conflictos por el acceso, uso y gestión de recursos vitales. Se hace necesario, por lo tanto, avanzar en metodologías que integren datos espaciales cada vez de mejor calidad y mayor revisita temporal con variables socioeconómicas, institucionales, socioecológicas, culturales, relacionales, normativas, legales, y políticas para una mejor comprensión de esta interrelación multicausal. En este sentido, en el presente trabajo, que tiene como foco principal América Central, se analiza una variable estrechamente relacionada con el cambio climático como es el cambio de la cobertura del terreno y de los usos del suelo, como una de las causas o componentes potenciales de las migraciones.
Las preguntas planteadas en esta línea, a las que pretende dar respuesta esta investigación, son: ¿se puede monitorizar con precisión el cambio del territorio en base al cambio de determinadas de sus coberturas características? ¿Existe relación entre el cambio del territorio y cambio climático? ¿Es adecuado para ello utilizar tecnologías espaciales satelitales? ¿Existe relación entre el cambio del territorio en una de sus coberturas como es la vegetación, y el cambio en la estimación de la población? En caso de que exista, ¿de qué tipo de relación se trata? ¿Tiene relación con los procesos migratorios? Para ello, en el presente artículo se plantea un marco teórico sobre los contextos espaciales, climáticos y poblacionales en la región, y se describe e implementa la metodología que nos permite analizar ambas materias, discutiéndose los resultados obtenidos para la experimentación llevada a cabo en este sentido en el Corredor Seco Mesoamericano.
En este apartado se describe el marco teórico adoptado en el que se establecen las conexiones conceptuales y teóricas, marco que contempla las dos principales variables analizadas en su contexto espacial para Latinoamérica y en el contexto regional del Corredor Seco Mesoamericano.
Las previsiones científicas recogidas en el IPCC para Latinoamérica son poco halagüeñas, y parecieran apuntar potenciales causas de los desplazamientos migratorios. Así, por ejemplo, según (IPCC, 2007b) para mediados de siglo, se prevé que el aumento de temperatura y la disminución asociada del agua del suelo den como resultado el reemplazo gradual de los bosques tropicales por sabanas en el este de la Amazonía (Vázquez et al., 2017). La vegetación árida tenderá a reemplazar a la vegetación semiárida. Existe el riesgo de pérdida significativa de biodiversidad, mediante la extinción de especies en muchas zonas tropicales de América Latina. Esta tendencia ya se ha constatado en el África subsahariana desde las últimas décadas del siglo pasado, y ha sido identificada a su vez como una de las causas de los movimientos migratorios hacia Europa.
Según también (IPCC, 2007b), en las zonas más secas, se espera que el cambio climático provoque la salinización y desertificación de la tierra agrícola, lo que obligará a cambios en los usos del suelo. Se prevé la disminución de la productividad de algunos cultivos importantes y de la ganadería, con consecuencias adversas para la seguridad alimentaria. En las zonas templadas, se prevé el aumento del rendimiento del cultivo de soja, hecho que pudiera impulsar al cambio de cultivos tradicionales no extensivos.
Otras previsiones tienen un carácter más medioambiental, si bien no se descarta la estrecha relación con las variables antrópicas (Rejas et al., 2015). De esta forma, se concluye en (IPCC, 2007b) que se espera que la subida del nivel del mar aumente los riesgos de inundación en zonas bajas. Se prevé que el aumento de la temperatura marina en superficie debido al cambio climático tenga efectos adversos en los arrecifes de coral mesoamericanos y cambie la ubicación de los bancos de peces en el sudeste del Pacífico. Estas previsiones sobre el aumento de nivel del mar pueden acrecentar sobre manera los efectos de catástrofes naturales producidas, por ejemplo, por inundaciones debidas a huracanes en el Caribe centroamericano.
Se prevé desde el IPCC, asimismo, que los cambios en las pautas de las precipitaciones y la desaparición de los glaciares afecten significativamente a la disponibilidad de agua para consumo humano, la agricultura y la generación de electricidad. Algunos países han hecho esfuerzos para lograr una adaptación, específicamente mediante la conservación de ecosistemas fundamentales, sistemas de alerta temprana, gestión de riesgos en la agricultura, estrategias para la gestión de costas, sequías e inundaciones, y sistemas de vigilancia de enfermedades. Sin embargo, la efectividad de estos esfuerzos se ve superada por: la falta de información básica, sistemas de observación y supervisión; falta de capacidad de construcción de marcos políticos, institucionales y tecnológicos apropiados; ingresos bajos y asentamientos humanos en zonas vulnerables, entre otros (IPCC, 2007b).
El cambio climático viene evidenciando la alta vulnerabilidad de los países de América Central y Caribe con fenómenos y eventos climáticos extremos cada vez más reiterados y próximos en el tiempo produciendo efectos devastadores de manera inmediata, así como en el medio y largo plazo. Unido a la vulnerabilidad socioeconómica de la región se produce una combinación de factores expulsores de población que, en suma, pueden ser catalizadores de movimientos migratorios.
Dentro de América Central, existe una amplia región denominada Corredor Seco Centroamericano (CSC) o su equivalente Corredor Seco Mesoamericano (CSM), que es definido por la FAO (Van der Zee et al., 2012) como:
Un grupo de ecosistemas que se combinan en la ecorregión del bosque seco tropical de América Central que se extiende por la costa del Pacífico desde Chiapas (México) e incluye las zonas bajas de la vertiente del mencionado Océano y gran parte de la región central pre-montaña (0 a 800 msnm) de Guatemala, El Salvador, Honduras, Nicaragua y parte de Costa Rica (hasta Guanacaste). Incluye también el área denominada como “Arco seco” correspondiente a Panamá, así como fragmentos próximos a la costa del Caribe en Honduras.
De manera particular el CSM se ha identificado como una zona de particular vulnerabilidad ante riesgos climáticos debido a su exposición a eventos extremos como sequías, huracanes, tormentas tropicales, precipitaciones, inundaciones o el fenómeno El Niño, por un lado, y por otro por las múltiples desigualdades (IPCC, 2014). Estos factores multicausales pueden agruparse en tres grandes tipos, actuando sobre la región centroamericana a modo de desencadenantes de movimientos migratorios.
Por un lado, la propia situación geográfica entre dos grandes bloques americanos como son el norte y el sur provoca tensiones en la región. Este desencuentro presenta un componente especialmente relevante relativo a la explotación y acceso a recursos naturales. En los países que conforman el CSM, los métodos y normativa existente no sirven a proteger dichos recursos y sus entornos naturales, sea porque carecen de una implementación efectiva o rigurosidad en su cumplimiento o porque se fomentan mecanismos para su extracción que carecen de un enfoque de sostenibilidad integral.
Otro de los factores que actúa como desencadenante de la migración es la situación sine die sociopolítica y económica que repercute en la calidad y condiciones de vida de la población negativamente, obligando a buscar alternativas de supervivencia. Finalmente, otra causa más sutil e invisible en el corto plazo salvo por los eventos extremos que se producen es la derivada de los efectos del cambio climático en la región. Si bien en estos momentos no puede considerarse la más tangible y existen dificultades a la hora de determinar la relación y el peso de estas en los movimientos migratorios, los modelos científicos indican que esta región será también de las más afectadas del globo por lo que se viene denominando migrantes climáticos (IPCC, 2022; IECHATS, 2019). Es necesario entender mejor cómo funcionan y relacionan todos estos mecanismos para caracterizar mejor también estas causas en unos procesos que, no hay que caer en la inmediatez, resultan complejos.
Vamos a fijarnos cómo la comunidad internacional caracteriza este proceso. El término “migración ambiental” fue acuñado en 2007 por la Organización Internacional para las Migraciones (OIM). De acuerdo con esta agencia de Naciones Unidas,
[...] los migrantes ambientales son personas o grupos de personas que, por razones imperiosas de cambios repentinos o progresivos en el medio ambiente que afectan negativamente a la vida o las condiciones de vida, se ven obligados a abandonar sus hogares habituales, o deciden hacerlo, ya sea de forma temporal o permanentemente, y que se mueven ya sea dentro de su país o hacia el extranjero. (IECAH, 2019)
La Organización de las Naciones Unidas para la Agricultura y la Alimentación (FAO, por sus siglas en inglés) estima que el 79% de la población que vive en el CSM, con México como exención, vive en zonas secas y subtropicales (FAO, 2012).

Fuente: Vallejos, 2020
En este contexto, las familias que dependen de la agricultura para la subsistencia y la generación de ingresos están particularmente expuestas a los daños que los desastres naturales pueden causar debido a la dependencia de las actividades al medio ambiente natural. Este hecho está afectando a la calidad de vida de las familias de pequeños agricultores, ya que su soberanía alimentaria se ve amenazada, así como la seguridad alimentaria de la población en general: el 80% de las familias de pequeños productores producen el 96% del total de cereales básicos de la región (FAO, 2011).
Los efectos del cambio climático afectan en gran medida a las comunidades indígenas debido a la estrecha relación que tienen con el entorno natural y los recursos que ofrece, además del vínculo cultural y espiritual que forja su identidad. Sus consecuencias se suman a una marginación histórica, política y económica en América Latina, la apropiación de sus tierras, la explotación de recursos dentro de sus territorios y la violación de sus derechos. A pesar de las circunstancias mencionadas anteriormente, las comunidades indígenas que aún se encuentran en sus territorios y han logrado mantener su cultura y conocimiento tienen mecanismos de prevención y adaptación al cambio climático que juegan un papel decisivo en la respuesta a desastres (Nakashima et al., 2012).
En este escenario complejo, una tendencia cada vez mayor a la que recurren las familias de agricultores en pequeña escala es el desplazamiento temporal o permanente. En el estudio Seguridad Alimentaria y Emigración, realizado por el Programa Mundial de Alimentos (PMA) en El Salvador, Guatemala y Honduras, la migración se destaca como un fenómeno complejo y multidimensional que reconoce la pobreza, la violencia y la variabilidad climática como factores asociados que empujan a los hogares hacia la emigración ya sea como unidad familiar o como individuos (PMA, 2017). En 2015 los migrantes centroamericanos en tránsito hacia el norte se estimaron en 417 000 personas, siendo originarios en su mayoría de zonas rurales de Guatemala, Honduras y El Salvador (Canales y Rojas, 2018). Sin embargo, se cuentan cada vez más casos de concesiones de protección a víctimas de desastres naturales, si bien es cierto que en circunstancias específicas. Por ejemplo, en el año 2003, los servicios de inmigración de los Estados Unidos prorrogaron dos años más el Estatuto de Protección Temporal concedido a 80.000 hondureños que llegaron después de que, en 1998, el Huracán Mitch devastase grandes zonas de América Central. Iniciado en 1996, el Proceso de Puebla es un foro regional para la migración en el norte y centro del continente americano y para la República Dominicana (Brown, 2008).
Se abre a continuación un apartado específico donde se describen los métodos, técnicas y bases de datos utilizadas en la investigación, así como los resultados obtenidos y la discusión llevada a cabo sobre los mismos.
Se han utilizado principalmente tres bases de datos de acceso público y gratuito, dos para la adquisición de imágenes de satélite y una para recabar información de estimación de la población en base a varios modelos. El funcionamiento básico de esta última se describe en el apartado 4 donde fue la principal herramienta utilizada para estimar la población y analizar su correlación con el cambio de la cobertura del terreno.
Las bases de datos espaciales han sido Earth Explorer del United States Geological Survey - USGS1 y las bases de datos del Programa Copernicus2 de la Agencia Espacial Europea (European Space Agency - ESA). Ambas bases de datos espaciales tienen un funcionamiento similar para la descarga de imágenes de satélite. Una vez registrados, se accede a la base de datos con el usuario y contraseña y se configura primero, la consulta sobre imágenes disponibles y, segundo, la descarga en sí misma de las imágenes. Para lo primero, hay que indicar mediante coordenadas o digitalizando un área espacial de búsqueda de la zona donde queremos conocer si existen o no imágenes disponibles. Hay que definir así mismo, el rango temporal de búsqueda y el sensor satelital particular que se pretende utilizar, en nuestro caso los sensores TM, ETM+ y OLI del Programa Landsat3 4-5, 7 y 8, respectivamente, y Sentinel 2 de Copernicus4, hecho lo cual se obtienen las imágenes disponibles para la zona y espacio temporal definidos. Realizando un análisis inicial sobre los estadísticos básicos de las imágenes generadas en la consulta, se seleccionan las imágenes concretas de interés que se ajusten a fechas definidas y que estén exentas de nubes, y se procede a su descarga.
Una vez se disponen ya de los ficheros imagen para su tratamiento cuantitativo, se aplican técnicas de preprocesamiento para corregir y minimizar errores. Hay que notar que estos ficheros contienen, por un lado, las imágenes pancromáticas propiamente dichas para cada longitud de onda donde registra dato el sensor satelital, y, por otro lado, contienen los metadatos. Las principales técnicas que se han aplicado en este sentido han sido análisis exploratorios, correcciones radiométricas y correcciones geométricas (Barbosa et al., 2018; Rejas, 2020), que tienen por objetivo por un lado, disponer del conjunto de imágenes utilizadas para una misma zona en una misma escala homogénea tanto espacial como en cuanto a la energía captada por el sensor, y por otro, transformar el nivel digital captado en el píxel de imagen a un parámetro biofísico, habitualmente radiancia o reflectancia.
Una vez pre-procesadas las imágenes, están dispuestas para su análisis en base a diferentes técnicas de tratamiento de imagen. En esta investigación, en donde en lo referente a la variable espacial interesaba estimar la cobertura del terreno y su evolución temporal, se han considerado implementar dos técnicas de análisis de imagen: índices u operaciones entre bandas, y clasificación digital. En los siguientes apartados se describen más detalladamente estas técnicas y se analizan los principales resultados obtenidos a partir de ellas.
Para abordar este apartado, partimos de dos hechos que no ponemos en duda y que consideramos avalados por la evidencia científica y cultural, como son (i) que existe un cambio climático acelerado por la actividad antrópica que a su vez produce efectos y riesgos asociados, y (ii) que existen movimientos migratorios de personas, ya sean puntuales y abruptos o paulatinos, en el Corredor Seco Mesoamericano. La hipótesis que establecemos es que existe una relación, por demostrar de qué tipo y magnitud, entre cómo y cuánto cambia un territorio y los procesos migratorios que se producen tanto internamente como transnacionales. La propuesta metodológica que se plantea a partir de datos y tecnologías espaciales viene diseñada en función de las variables que podemos medir, evaluar y monitorizar para acercarnos a comprender mejor y establecer modelos predictivos cuantitativos. Entre las distintas variables que podemos medir mediante tecnologías espaciales en un rango temporal periódico desde aproximadamente los años 80 del siglo XX, la cobertura del terreno y los usos del suelo que se puedan deducir de ella, son las variables en las que vamos a enfocar este trabajo.
Utilizamos para ello tecnología espacial de última generación, así como desarrollos tecnológicos propios basados en sistemas GNSS (Global Navigation Satellite System), drones y estaciones climatológicas interconectadas y de análisis de suelos, en combinación con bases de datos medioambientales, socioeconómicas y de salud de organismos nacionales e internacionales. Los métodos de análisis y datos geoespaciales en este sentido, incluidos la teledetección y los sistemas de información geográfica, suponen herramientas de gran potencia debido a su capacidad de monitorizar y cartografiar los movimientos migratorios y las variables que intervienen en ellos, muchas de las cuales están relacionadas a su vez con parámetros biofísicos que se pueden extraer del análisis geoespacial. A ello se une la amplia cobertura global y temporal de los programas de Observación de la Tierra y su cada vez mayor nivel de detalle espacial, como pone de manifiesto el Programa Europeo Copernicus. La aplicación de técnicas de teledetección en particular, entendida como la adquisición y procesado de información a distancia sobre un objeto sin entrar en contacto con el mismo, para la identificación y el estudio de los cambios de las coberturas del suelo, ha supuesto una herramienta eficaz ampliamente validada para la monitorización a nivel global de este proceso.
Se han analizado a estos efectos los resultados de estudios geoespaciales realizados en las últimos años en diversas comunidades del Corredor Seco Mesomaricano (Esono et al., 2015; Pepito, 2015; Solana, 2017; Fimia, 2017; Ramos, 2017; Rivera, 2018; Vallejos, 2020), como son Antigua-Sumpango en Guatemala, Copán Ruinas, Nueva Comunidad Indígena de El Cerrón, Comayagua, Danlí y El Fortín en Honduras, Comunidad Sutiaba de León, Comunidad de Apacunca de Chinandega y Chontales en Nicaragua, y Cartago y Comunidad Indígena de Osa en Costa Rica (ver figura 2). Se trata de 11 áreas rurales habitadas en su mayoría por un alto porcentaje de población de etnias autóctonas, de extensión media de 40 x 40 km2 y localizadas en el CSM, que guardan modos de vida comunes basados en una actividad agroforestal y ganadera de pequeñas explotaciones tradicionales familiares o comunitarias.

El criterio utilizado para la delimitación del corredor está basado en las zonas cuya época seca es mayor a cuatro meses. Fuente: FAO, 2016
Como principales indicadores del estado y cambios del terreno, se han calculado los índices de vegetación y de suelo para el conjunto de imágenes (Barbosa et al., 2018; Rejas et al., 2017, 2020) y se ha aplicado clasificación digital de imágenes para cartografiar la cobertura del terreno. Primeramente, se generan varios índices de vegetación a partir de imágenes que están validados científicamente, como es el Índice de Vegetación de Diferencia Normalizada-NDVI (Rouse et al., 1973), adoptado como estándar y ampliamente utilizado, el Índice Optimizado de Vegetación Ajustada al suelo-OSAVI (IECA et al., 1996) o el Índice de Vegetación Ajustado al Suelo Modificado-MSAVI (Qi et al., 1994).
Seguidamente y con objeto de analizar geoespacialmente la evolución temporal del terreno, se aplica clasificación digital a las imágenes pre-procesadas. De esta manera se identifica y separan las diferentes superficies de categorías y se calcula el cambio temporal producido en las mismas (ver figuras 3 y 4). El objetivo de la clasificación es el reconocimiento de clases o grupos cuyos miembros tengan ciertas características en común. La clasificación digital se aborda en dos fases (Vázquez et al., 2017), una primera denominada no supervisada, usualmente mediante los algoritmos Isodata o K-Means, y a continuación, una fase supervisada, por uno de los métodos habituales como son el de Máxima Verosimilitud o el Mapeador por Ángulo Espectral.
La clasificación supervisada requiere de un conocimiento previo de los diferentes tipos de superficie presentes, aunque no necesariamente de su firma espectral que se puede extraer de la imagen calibrada. Para realizar la supervisión en las áreas de entrenamiento seleccionadas, las zonas se visitan identificando el tipo de material en las cubiertas de interés. Se registran suficientes áreas de supervisión por zona de estudio, habitualmente entre 15 y 25 dependiendo de la variabilidad espectral y de cubiertas, y se realizan medidas de espectros discretos sobre muestras tomadas en varias de las áreas que son accesibles. El resultado ideal consiste en obtener clases que sean mutuamente excluyentes y exhaustivas, estableciendo una relación directa entre las clases espectrales (extraídas de las imágenes) con las clases informacionales, en este caso las que conforman las distintas coberturas del terreno.Los criterios de clasificación de la cobertura del suelo que se han utilizado son los mismos que propone la FAO. En el intento de homogeneizar las clases a nivel mundial, la FAO ha diseñado un sistema de clases de cobertura del suelo donde la primera fase es la que llaman fase inicial dicotómica. Ésta abarca 8 grandes clases: Áreas terrestres cultivadas y manejadas; Vegetación terrestre natural y seminatural; Áreas cultivadas acuáticas o regularmente inundadas; Vegetación natural y seminatural acuática o regularmente inundada; Superficies artificiales y áreas asociadas; Áreas descubiertas o suelo desnudo; Cuerpos artificiales de agua, nieve o hielo; Cuerpos naturales de agua, nieve o hielo.

El análisis multitemporal de la evolución de la cubierta terrestre y el agua es una pieza clave para comprender la situación del territorio en el pasado y su posible tendencia a futuro. Se trata de determinar y analizar esos cambios importantes durante el período de decenas de años de los que se disponen datos socioeconómicos, institucionales y políticos, entre otros. Comparando las diferentes clasificaciones de suelo obtenidas, y los índices de vegetación y suelo calculados, junto con la validación efectuada por supervisión in situ, podemos cuantificar con precisión los cambios producidos.
Se ha observado una relación clara entre los cambios de vegetación y dos estaciones anuales en América Central (estación seca y lluviosa). NDVI y MSAVI muestran un aumento en la vegetación de montaña después de los meses lluviosos, lo cual era de esperar, si bien existe un efecto de vulnerabilidad y degradación de las laderas debido a la relación entre las fuertes lluvias y la escasa cobertura o relativa pobreza de los suelos en áreas de montaña.
El resumen que se deduce de los principales resultados medios obtenidos para el cambio de cobertura del terreno en las zonas analizadas en un rango temporal entre 1987 y 2017, es que el territorio ha pasado de ser más o menos cohesionado a uno fragmentado y deteriorado. En 1987 se observan representadas menos clases de la FAO que en 2017, donde el territorio se caracteriza por ser un mosaico de muchas clases distintas de coberturas del suelo. Cabe destacar que la superficie cultivada, ya sea de regadío o de secano, se incrementa de 1987 a 2017 en un 22,31%. Otras como las áreas superficiales artificiales, áreas asociadas, áreas descubiertas o suelo desnudo aumentan. Así, mientras que en el 1987 y en el 2001, no se han identificado en los análisis ni superficies artificiales ni áreas asociadas, en 2017 esta clase ocupa un 8,4% del total superficial. Por otra parte, las áreas descubiertas o suelo desnudo en 1987 eran poco significativas, mientras que aumentan hasta un 10,44% en 2017.
Aunque no signifiquen una representación exhaustiva de la dinámica de cambio de la cobertura del terreno en la zona en un periodo de 30 años desde 2017, ya que existe mucha casuística implicada, incluso la derivada de procesos históricos (por ejemplo, los distintos episodios bélicos acaecidos en este período en la región) y se asuma un grado de exactitud global medio del 95.04% recogido en las matrices de contingencia calculadas con su consecuente error asociado, sí pueden ser sintomáticos del proceso sufrido en la zona tres de los resultados obtenidos (Esono et al., 2015; Pepito, 2015; Solana, 2017; Fimia, 2017; Ramos, 2017; Rivera, 2018; Vallejos, 2020): (1) la vegetación terrestre natural y seminatural como media cambia principalmente hacia áreas terrestres cultivadas y manejadas en un 23,07%; (2) las áreas terrestres cultivadas y manejadas a su vez experimentaron un cambio significativo a vegetación terrestre natural y seminatural en un 9,31%, y (3) globalmente el porcentaje de no cambio de cobertura del terreno fue de 71,60% como media para toda la región.
El objetivo metodológico último es analizar la posible correlación entre los cambios producidos en el territorio habitado por las comunidades, que obtenemos en base a los indicadores calculados de vegetación y cobertura del suelo principalmente, y variables que inciden en la decisión migratoria. Para abordar este análisis con rigor, es necesario ampliar sustancialmente el trabajo de campo in situ y mejorar contrastando científicamente la implementación de metodologías.
La hipótesis de trabajo una vez calculados todos los indicadores tanto geoespaciales como socioeconómicos, es que los efectos del cambio climático se manifiestan en el cambio de los usos y coberturas del suelo (Barbosa et al., 2018; Rejas, 2020; Vázquez et al., 2017), principalmente de vegetación, lo cual a su vez afecta a los modos de vida y a la subsistencia de las comunidades, en ocasiones de forma brusca debido a eventos extremos climatológicos. Si se confirma esta relación, como apuntan otros trabajos e informes como el último del IPCC, se conformaría esta relación geoespacial de cambio como una variable que incide directamente en la decisión de migrar.
Un viaje sobre la percepción que brinda la astronomía, el significado que pueda tener la cosmovisión, la relación con el medio y sus hábitats ancestrales, y el sentimiento de arraigo o no del patrimonio material e inmaterial de las comunidades hoy en día para su desarrollo humano, nos hace reflexionar y considerar esta variable en cuanto a su influencia en la decisión migratoria en el CSM, principalmente en lo referente a etnias autóctonas de pueblos originarios.
Hoy en día los discursos de postmodernismo y el movimiento de globalización (especialmente económico y político) generan un orden y una cosmovisión general centrada en conceptos como los de Estado-nación, entendido como territorio e identidad nacional. Sin embargo, con los pueblos indígenas (entre otros colectivos) ocurre que las fronteras nacionales se borran y nacen las identidades asociadas a diferencias socioculturales dentro del mismo territorio, cobrando más visibilidad (Hopenhayn, 2002). La cosmovisión de una comunidad tiene repercusiones territoriales, sociales, políticas y culturales dentro de las fronteras de un país; y es lo que hemos podido percibir a lo largo de todo el estudio, significativamente más en comunidades indígenas. Por tanto, esta primera aproximación del estado del patrimonio en el medio rural podría arrojar una percepción de un arraigo cada vez más frágil y en un delicado equilibrio entre el desarrollo de ciertas comunidades rurales con la defensa de lo que ancestralmente les ha pertenecido.

Este equilibrio entre el desarraigo patrimonial unido a la degradación del territorio, falta de servicios e infraestructuras, así como oportunidades de trabajo podría dar lugar, especialmente, a la migración temporal hacia el Sur, principalmente con destino en Costa Rica, o hacia el Norte. Por ejemplo, en el caso de la Comunidad Indígena de Sutiaba de León en Nicaragua (Pepito, 2015) del total de la población encuestada el 39,5% tenía algún familiar que había emigrado. De estos, el 92,5% dijo ser una migración voluntaria mientras que el restante 7,5% defendió que fue forzada para tener que buscar unas condiciones de vida mejores en otros países. El 78% de las migraciones se habían dirigido hacia Costa Rica como país de acogida, seguido de Estados Unidos, pero con una diferencia significativa, pues éste sólo representa el 6% en este caso concreto de León.
De manera general, en todos los países que forman parte del Corredor Seco Mesoamericano, se ha perdido población rural incrementándose la tasa de crecimiento urbano, que a lo largo de todos los años estudiados es mayor. Por tanto, estadísticamente se refleja un éxodo rural en pro del crecimiento urbano. Esta tendencia regional podría apoyar lo observado sobre la pérdida de cobertura vegetal natural y el porqué de una fragmentación y deterioro del territorio.
El análisis multitemporal de la evolución de la cobertura del suelo y las láminas de agua es un tema crítico para entender las condiciones de esta en el pasado y su potencial futuro en un contexto de cambio climático global. Los sensores proporcionan la capacidad de analizar con precisión y trazabilidad estas variables a largo plazo y en momentos puntuales, lo que constituye una herramienta esencial para el estudio de la evolución de estos elementos.
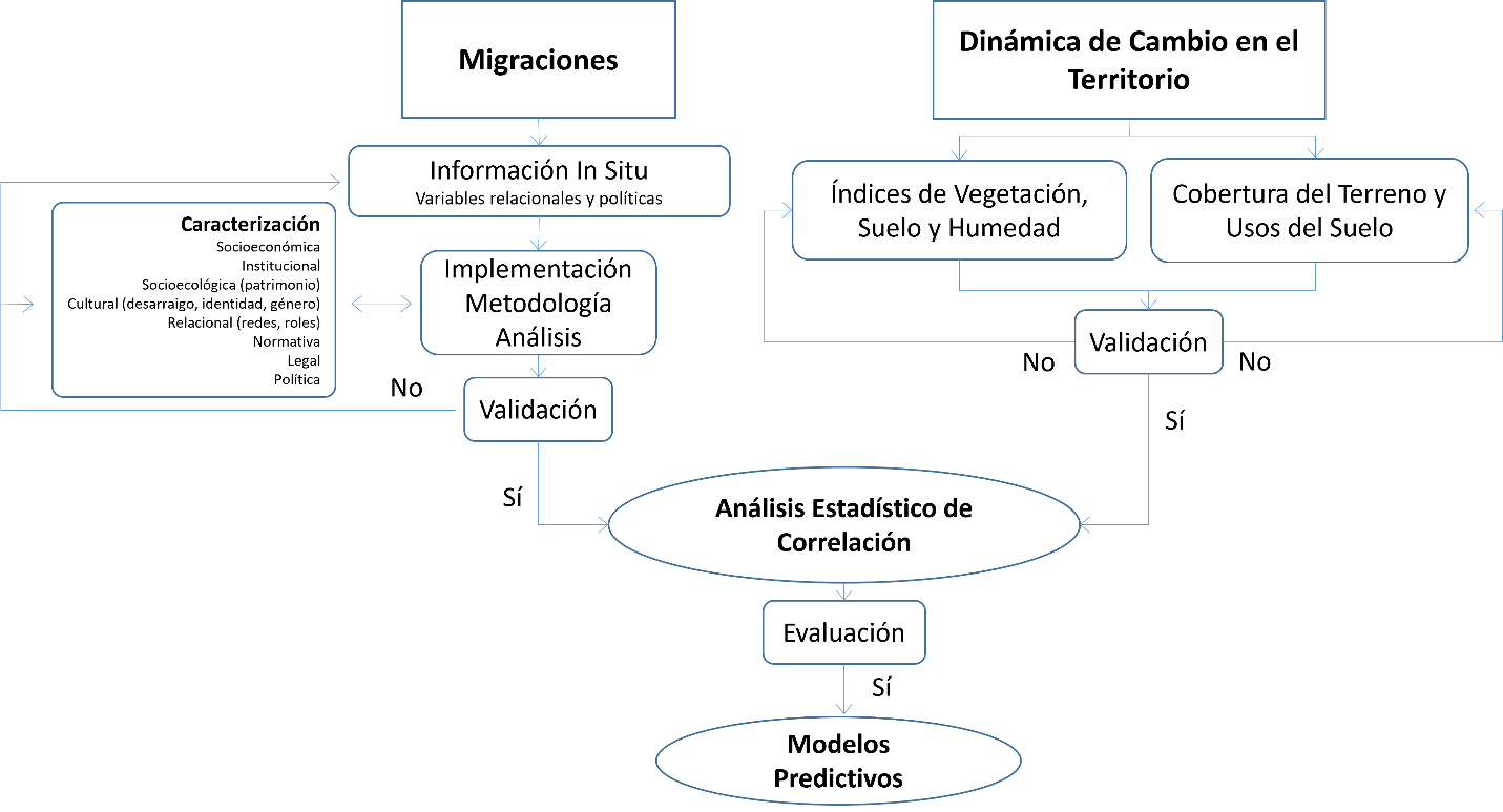
Partiendo de la hipótesis de que existe una relación entre migraciones y cambios en el territorio, podemos establecer una metodología de investigación (ver figura 5) que vaya encaminada a describir cuantitativamente primeramente estos hechos, para luego analizar estadísticamente si existe relación significativa entre ellos. Los métodos para monitorizar el deterioro y los cambios de un territorio han sido probados científicamente desde décadas, siguiendo básicamente los esquemas de flujo mostrados en la figura 3 y en la figura 4.
El déficit detectado en cuanto a la implementación de la metodología propuesta se debe a la falta de información amplia y contrastada sobre migraciones y a la necesidad de mejora de análisis de sus procesos. Una vez se haya avanzado en esta investigación y se hayan validado las metodologías que permiten caracterizar migraciones y dinámicas de cambio en el territorio, hay que conectar ambos hechos para estudiar su correlación. Si esta se confirma y se evalúa la bondad de esta, es decir, si avanzamos en su comprensión y cuantificamos esta relación, estaríamos entonces en disposición de generar modelos cuantitativos que permitan explicar y predecir escenarios de migración debido a cambios en el territorio por cambio climático y riesgos asociados.

Se ha realizado una aproximación al análisis de correlación simple entre una variable indicativa del cambio de la cobertura del terreno, como es el cambio del índice de vegetación NDVI, y otra sobre la estimación de población en el Corredor Seco Mesoamericano. Para ello se han utilizado tres fuentes de datos, por un lado, el NDVI calculado por el programa de Observación de la Tierra de MODIS (Didan, 2015) y, por otro lado, en cuanto a la población, se han utilizado los modelos de estimación de la población GPWv4 y de WorldPop, a los que se accede desde la plataforma de exploración de datos del proyecto POPGRID5.
Un aspecto relevante ha sido decidir el rango temporal del análisis de correlación, que ha estado impuesto en este caso por la disposición de datos de estimación de la población sobre la región centroamericana, ya que el acceso al rango temporal para el cálculo de la dinámica de la cobertura de la vegetación era más amplio. Debido a ello, el análisis de correlación estadístico ha sido en el rango temporal entre las fechas de 2015 y 2020 para esta aproximación.
En cuanto a la población, ambos modelos utilizados, GPWv4 y WorldPop, se basan en una fuente similar de datos de población (Chen et al., 2020, p. 12), si bien, el modelo WorldPop es el que emplea más variables y datos auxiliares respecto a GPWv4 en su método de espacialización (Chen et al., 2020, p. 5) lo que se traduce en una distribución diferente de la población, en principio y para determinados escenarios y casos de estudio, más ajustada a la realidad.

Otro aspecto que ha sido necesario definir es el ámbito espacial de análisis de correlación. Por un lado, se han estudiado las 11 áreas de test mencionadas en el Corredor Seco Mesoamericano sobre las cuales se ha realizado trabajo de campo y se ha analizado la dinámica de la cobertura del terreno. De otra aparte, en relación con la estimación de la población, se ha calculado la media en un rango espacial de 40 x 40 km2 centrado en cada una de las 11 áreas de test referidas sobre zonas rurales. Este aspecto es relevante, y se convierte en un elemento de discusión y de posible mejora en función de las relaciones espaciales que se han observado.
La hipótesis para establecer este rango espacial se debió, por un lado, a los ámbitos espaciales usuales que actúan sobre las dinámicas socioeconómicas en núcleos rurales de Centroamérica, y, por otro lado, al constreñimiento necesario para que estos datos medios de población no se vieran sesgados por la proximidad a núcleos urbanos de Centroamérica que funcionan con otras dinámicas diferentes a las de las áreas rurales.
En lo relativo a la estimación del cambio del terreno, se ha utilizado en esta primera aproximación una única variable biofísica como es la media del índice de vegetación NDVI entre la diferencia para el 21 de marzo, estación seca en Centroamérica, en los años 2010, 2015 y 2020 de los Departamentos que incluyen las 11 áreas de test estudiadas, todas ubicadas en zona rural, aunque con algún matiz como veremos más adelante. El empleo de los límites de los Departamentos (ver figura 8) en lugar de los municipios, se debe a que resultan más representativos del ámbito de interrelación socioeconómica de las 11 comunidades y a su vez, de la dinámica de la cobertura vegetal analizada.

Los datos de NDVI que ofrece el programa MODIS han sido validados por la comunidad científica (Geng et al., 2014), no obstante, hay que notar que estos resultados para las fechas mencionadas contienen errores inherentes al propio algoritmo de estimación de la cobertura vegetal, a la mezcla espectral contenida en un nivel de detalle espacial de MODIS de 250 y 500 m, y sobre todo a la cobertura nubosa, como se puede observar en algunas zonas en negro en las distintas fechas de la figura 7.

Hay que notar también, que MODIS no es ni mucho menos, la única fuente de información que permite estimar la vegetación del terreno, pero sí es una de las fuentes homogéneas que ofrece este producto para el conjunto de Centroamérica en una secuencia amplia y solapada en el rango temporal de análisis de cambio en la población. Será cuestión de discusión así mismo, el hecho de cómo puede afectar la precisión en esta estimación, tanto espacial, espectral como temporal, en relación con las correlaciones con variables de población y socioeconómicas.
Se han calculado las diferencias de NDVI de MODIS entre 2015 y 2010, 2020 y 2015, y entre 2020 y 2010 (ver figura 8), y se ha calculado la dinámica global de cambio de NDVI de MODIS entre 2020, 2015 y 2010 (ver tabla 1). Finalmente, se han calculado las medias de las diferencias siguiendo los rangos espaciales mencionados para población y cobertura de la vegetación, y se han extraído los resultados, generando matrices de datos como la que se muestra en la tabla 1, que han sido utilizadas para el análisis de correlación simple.
| Áreas de Test_CSM | Estimación de la población GPWv4 2020-2015 | Estimación de la población WorldPop 2020-2015 | Vegetación eMODIS NDVI 2020-2015-2010 | Vegetación eMODIS NDVI 2020-2015 |
|---|---|---|---|---|
Copán Ruinas (Honduras) | 111117 | 150555 | 585,020,806 | 2,057,303,419 |
Antigua (Guatemala) | 19865 | 33358 | 75,621,206 | 380,072,199 |
La Paz (Honduras) | 10753 | 17594 | 114,127,977 | 2,109,872,295 |
Comayagua (Honduras) | 32962 | 51644 | 293,790,896 | 1,277,846,130 |
Danli (Honduras) | 17919 | 26958 | -376,087,185 | -71,662,628 |
El Fortín (Honduras) | 6084 | 18804 | -31,319,261 | -97,670,281 |
Chinandega (Nicaragua) | -522 | 8652 | -150,479,986 | -113,674,943 |
León (Nicaragua) | -6846 | 9007 | -190,941,917 | -136,629,791 |
Juipalpa (Nicaragua) | -42 | 5793 | 1,174,639,172 | -108,770,966 |
Cartagena (Costa Rica) | 17233 | 13716 | 1,776,542,002 | -52,668,024 |
Turrialba (Costa Rica) | 15729 | 21374 | 228,070,222 | -66,092,224 |
Se observa, en cuanto a las diferencias de la población, cómo GPWv4 estima pérdida de población en tres casos, concretamente en los núcleos estudiados de Nicaragua. WorldPop sí obtiene un menor crecimiento en estos tres núcleos de Nicaragua, pero no pérdida, así como se puede apreciar una sobreestimación de la población para los 11 casos analizados.
En cuanto a la vegetación, se observa una pérdida de NDVI en la dinámica global de cambio entre 2020, 2015 y 2010 en cuatro de los casos estudiados, dos de Nicaragua y dos de Honduras, curiosamente los cuatro situados en los entornos del Golfo de Fonseca. Focalizando sólo las diferencias de NDVI entre 2020 y 2015, se observa una pérdida generalizada en siete de los once casos de estudio, correspondiéndose de nuevo estos a las zonas más próximas a la costa del Pacífico de Honduras, Nicaragua y Costa Rica. Una vez extraídos los datos expuestos para los once casos, se ha realizado un análisis de correlación simple. Para ello se ha utilizado el paquete de análisis matemático de Statgraphics, obteniendo como mejores modelos de regresión los que se muestran en la figura 9.
Como variable dependiente se ha considerado en todos los modelos de regresión simple a la estimación de la población. Los modelos obtenidos a partir de la dinámica global de cambio de la vegetación entre 2020, 2015 y 2010 no eran significativos, apenas alcanzaban un coeficiente de correlación de 0.2, lo que ha permitido no considerarlos, invitando a explorar en futuras investigaciones otros rangos temporales de estudio que expliquen mejor las correlaciones con los cambios de población o la ocurrencia de anomalías.

Considerando solo el periodo de solape de 2015 y 2020 entre diferencia de población y diferencia de cobertura de la vegetación, los modelos de regresión simple arrojan mejores y similares resultados. En los tres casos más favorables para 2020-2015 (ver figura 9), a saber, regresión simple modelo lineal de GPWv4 respecto a NDVI, regresión simple modelo lineal de WorldPop respecto NDVI y regresión simple modelo raíz cuadrada de Y de WorldPop respecto NDVI, el valor-P en la tabla ANOVA es menor que 0.05, por lo que existe una relación estadísticamente significativa entre las variables con un nivel de confianza del 95.0%.
Así mismo, el estadístico R-Cuadrada indica que los modelos ajustados explican el 44.4153%, 44.767% y 46.8445% de la variabilidad poblacional en GPWv4 y WorldPop para 2020-2015, respectivamente en los tres modelos de regresión simple anteriormente referidos. El coeficiente de correlación igual a 0.666448, 0.669081 y 0.68443, indica a su vez, respectivamente, una relación moderadamente fuerte entre las variables. El error estándar del estimado indica que la desviación estándar de los residuos es 25248.2, 32352.4 y 67.0444, respectivamente para los tres modelos referidos. Estos valores pueden usarse para construir límites de predicción para nuevas observaciones.
El error absoluto medio (MAE) de 14994.4, 16950.6 y 44.0613, respectivos para los tres modelos de regresión referidos, es el valor promedio de los residuos. El estadístico de Durbin-Watson (DW) examina los residuos para determinar si hay alguna correlación significativa basada en el orden en el que se presentan en el archivo de datos. Puesto que el valor-P es mayor que 0.05 en los tres modelos mencionados, no hay indicación de una autocorrelación serial en los residuos con un nivel de confianza del 95.0%.
En la discusión de estos resultados, uno de los elementos que hay que observar son los posibles puntos influyentes. En este sentido, hay que señalar la ocurrencia de un punto influyente en las tres regresiones simples referidas (ver figura 9). Se trata del caso de estudio de Antigua-Sumpango en Guatemala, que presenta el aumento de la población más significativo tanto en GPWv4 como en WorldPop respecto al resto de los 10 casos estudiados. Esta diferencia de Antigua-Sumpango respecto al resto y de que suponga un punto influyente en las regresiones simples, puede ser debido a que estos núcleos de población se encuentran muy próximos a la capital Guatemala y a su vez, suponen uno de los principales focos turísticos de la región, lo que implica una fuerza de atracción socioeconómica respecto otras zonas rurales del país.
El cambio climático afecta a la temperatura global del planeta y a la dinámica temporal de las coberturas terrestres y de agua, especialmente a la cobertura de la vegetación y al nivel medio de los mares. La pérdida de vegetación que se deduce en el 63% de los casos estudiados entre 2015 y 2020, correspondientes al mismo tiempo con los casos más extremos del CSM analizados, se puede explicar en parte, aunque no serían las únicas causas, por los efectos del cambio climático y por los cambios en los usos del suelo. Los modelos de regresión simple explican que existe una relación, si bien no muy fuerte, entre este cambio en la cobertura de la vegetación y el cambio en la estimación de la población. Por tratarse los casos estudiados de localizaciones en el CSM donde se ha identificado cambio de cobertura vegetal, y siendo que el deterioro ambiental incide negativamente en los modos y calidad de vida de la población rural presentándose como factores que ejercen presión en las familias siendo catalizadores de dinámicas migratorias internas y transnacionales, podría inferirse que los cambios que se presentan como resultado del análisis de los modelos de estimación de población estudiados podrían estar afectados en parte por flujos migratorios. Como se expuso anteriormente, es necesario profundizar en las investigaciones que permitan identificar variables sociales y caracterizar las dinámicas migratorias en la región para comprender mejor y ajustar los modelos que las relacionan con los cambios en el territorio, estos sí mucho mejor cuantificados y monitorizados.
Se ha estudiado el contexto que ofrece la comunidad internacional para Latinoamérica, y para la región centroamericana en particular, sobre el cambio climático como base para el análisis de los efectos que ello pueda tener sobre el territorio, modos de vida, y su relación con los procesos migratorios de la población en una de las zonas más vulnerables de la Tierra como es el Corredor Seco Mesoamericano (CSM). Se ha presentado una propuesta metodológica en este sentido, focalizada en los cambios de las coberturas del terreno y usos de suelo, para lo que se han analizado geoespacialmente imágenes satelitales del Programa Europeo Copernicus y de la NASA en un rango temporal de 1987 a 2020 a partir de tecnologías de la información geográfica en áreas rurales del CSM correspondientes a comunidades rurales en su mayoría fronterizas.
Los resultados del análisis geoespacial permiten responder afirmativamente a varias de las preguntas planteadas en la investigación en lo relativo a la adecuación de los datos espaciales y los métodos implementados para monitorizar el cambio en la cobertura del terreno del CSM y el impacto que el cambio climático tiene en ello, materializado en esta región en el aumento de eventos climáticos extremos, lo que por otro lado, es congruente con los estudios científicos adoptados como referencia en esta investigación.
Se ha analizado, como primera aproximación a la propuesta metodológica, la correlación estadística en once casos del CSM del cambio en la estimación de la población según los modelos GPWv4 y WorldPop de POPGRID, con el cambio en la cobertura de la vegetación calculado mediante NDVI por MODIS entre los años de 2015 y 2020. Este análisis ha posibilitado responder a las preguntas planteadas sobre la relación entre el cambio de la cobertura del terreno y el cambio en la estimación de población en el CSM, ya que los modelos de correlación simple generados indican que existe una relación directa significativa entre las variables estudiadas con un nivel de confianza del 95.0%, siendo la regresión simple del modelo raíz cuadrada de Y de estimación de la población WorldPop respecto a cambio en la vegetación la que mejor coeficiente de correlación ofrece con 0.68443, presentando una relación moderadamente fuerte entre ambas variables.
La presente investigación es un primer acercamiento a la comprensión de la relación entre cambio climático y dinámicas migratorias en el CSM. Si bien a lo largo de la investigación se comprueba la necesidad de profundizar y avanzar en la identificación de variables de naturaleza social que inciden a los procesos migratorios en el CSM, parece apuntarse a la probabilidad de que una de las variables, no la única, se deba a la relación entre los cambios en el territorio producidos por eventos extremos o por el cambio climático y los modos de vida de las comunidades estudiadas. Esta relación, que en parte se vislumbra en los resultados obtenidos, está alineada con otras investigaciones globales como el último informe del IPCC sobre Cambio Climático y Tierra.
Los autores desean agradecer a la Universidad Politécnica de Madrid (UPM) por su apoyo, así como a los siguientes grupos: Plataforma para el desarrollo sostenible de Latinoamérica y el Caribe (Plataforma LAC, UPM), Grupo de Investigación Mesoamericano en Cambio Climático (GIMCC) y Sociedad Española de Cartografía, Fotogrametría y Teledetección (SCFT).
Barbosa, H., Lakshmi Kumar, T., Paredes, F. J., Elliott, S. y Ayuga, J. G. (2019). Assessment of Caatinga response to drought using Meteosat-SEVIRI Normalized Difference Vegetation Index (2008-2016). ISPRS Journal of Photogrammetry and Remote Sensing, 148, 235-252. https://doi.org/10.1016/j.isprsjprs.2018.12.014
Brooks, N. (2006). El cambio climático, la sequía y el pastoralismo en el Sahel. Nota para deliberaciones para la Iniciativa Mundial para un Pastoralismo Sostenible, noviembre de 2006.
Brown, O. (2008). Migración y cambio climático (31.ª ed.). Organización Internacional para las Migraciones (OIM).
Canales, A. y Rojas, M. (2018). Panorama de la migración internacional en México y Centroamérica. Documento elaborado en el marco de la Reunión Regional Latinoamericana y Caribeña de Expertas y Expertos en Migración Internacional preparatoria del Pacto Mundial para una Migración Segura, Ordenada y Regular. Serie Población y Desarrollo, 124, (LC/TS.2018/42). Ed. Comisión Económica para América Latina y el Caribe (CEPAL).
Chen, R., Yan, H., Liu, F., Du, W. y Yang, Y. (2020). Multiple Global Population Datasets: Differences and Spatial Distribution Characteristics. ISPRS International Journal of Geo-Information, 9(11), 637. https://doi.org/10.3390/ijgi9110637
Convención Marco de las Naciones Unidas sobre el Cambio Climático (CMNUCC). (1992). Artículo 1.2. Serie de estudios de la OIM sobre la migración, 31.
Didan, K. (2015). MOD13Q1 MODIS/Terra Vegetation Indices 16-Day L3 Global 250m SIN Grid V006 [Data set]. NASA EOSDIS Land Processes DAAC.
Dupont, A. y Pearman, G. (2006). Heating up the planet: Climate change and security: Series Lowy Institute for International Policy (12.ª ed.). Lowy Institute for International Policy.
Esono Mangue, S., Rejas Ayuga, J. G., Bonatti, J., Martínez Marín, R., Marchamalo Sacristán, M., Algeef, N. y Fernández Moya, J. (2015). Análisis de patrones espectrales del terreno y cambios hidrológicos a partir de datos multisensor en espacios naturales del sur de Costa Rica. Revista de Ciencias Espaciales, 8(1), 277-293. https://doi.org/10.5377/ce.v8i1.2053
Estrategia Internacional para la Reducción de Desastres de Naciones Unidas (EIRD–NU). (2009). Informe de evaluación global sobre la reducción del riesgo de desastres 2009. Riesgo y pobreza en un clima cambiante. Invertir hoy para un mañana más seguro. Ed. Naciones Unidas.
Fimia Martínez, O. (2017). Gestión del Patrimonio en Áreas Costeras para un Turismo Sostenible–Sustentable, Norte de Chinandega. Análisis del Patrimonio en la Reserva de Recursos Genéticos de Apacunca para un Turismo Sostenible. Universidad Politécnica de Madrid.
Geng, L., Ma, M., Yu, K., Wang, X. y Jia, S. (2014). Validation of the MODIS NDVI Products in Different Land-Use Types Using iSitu Measurements in the Heihe River Basin. IEEE Geoscience and Remote Sensing Letters, 11(9), 1649-1653. https://doi.org/10.1109/LGRS.2014.2314134
Hopenhayn, M. (2002). El reto de las identidades y la multiculturalidad. Globalización y postmodernidad: la irrupción de lo cultural en lo político y el reclamo de la diferencia. Serie Técnica, 36, 15. Universidad de París.
Instituto de Estudios sobre Conflictos y Acción Humanitaria (IECAH). (2019). La migración en el contexto de cambio climático y desastres: reflexiones para la Cooperación Española. Ed. IECAH para la Oficina de Acción Humanitaria (OAH) de la Agencia Española de Cooperación Internacional para el Desarrollo (AECID).
Intergovernmental Panel on Climate Change (IPCC). (2007a). The Physical Science Basis: Working Group I Contribution to the Fourth Assessment Report of the IPCC. Cambridge University Press.
Intergovernmental Panel on Climate Change (IPCC). (2007b). Resumen para responsables de políticas. Cambio Climático 2007: Impactos y Vulnerabilidad. Contribución del Grupo de Trabajo II al Cuarto Informe de Evaluación del IPCC. Cambridge University Press.
Intergovernmental Panel on Climate Change (IPCC). (2014). Cambio climático 2014: Informe de síntesis. Contribución de los Grupos de trabajo I, II y III al Quinto Informe de Evaluación del Grupo Intergubernamental de Expertos sobre el Cambio Climático (R. K. Pachauri y L. A. Meyer, eds.). IPCC.
Intergovernmental Panel on Climate Change (IPCC). (2022). [In Press]. Climate Change 2022: Impacts, Adaptation, and Vulnerability. Contribution of Working Group II to the Sixth Assessment Report of the Intergovernmental Panel on Climate Change (H. O. Pörtner, D. C. Roberts, M. Tignor, E. S. Poloczanska, K. Mintenbeck, A. Alegría, M. Craig, S. Langsdorf, S. Löschke, V. Möller, A. Okem y B. Rama, eds.). Cambridge University Press.
McLeman, R. y Smit, B. (2006). Migration as an adaptation to climate change. Climate Change, 76, 31-53. https://doi.org/10.1007/s10584-005-9000-7
Nakashima, D., Galloway McLean, K., Thulstrup, H., Ramos Castillo, A. y Rubis, J. (2012). Weathering Uncertainty: Traditional Knowledge for Climate Change Assessment and Adaptation. UNESCO, ONU.
Organización de las Naciones Unidas para la Alimentación (FAO). (2011). Centroamérica en Cifras. Datos de Seguridad Alimentaria Nutricional y Agricultura Familiar.
Organización de las Naciones Unidas para la Alimentación (FAO). (2012). Estudio de Caracterización del Corredor Seco Centroamericano. Anexos, 2.
Organización de las Naciones Unidas para la Alimentación (FAO). (2016). Diagrama de ubicación [Mapa]. https://www.fao.org/fileadmin/user_upload/emergencies/docs/CorredorSeco-Informedesituacio%CC%81nJunio%202016.pdf
Pepito Escudero, C. M. (2015). Aplicación de las TIG y Teledetección en el Estudio del Arraigo del Patrimonio Cultural y Natural, y su Influencia en los Movimientos Migratorios, en El Corredor Mesoamericano. Caso de Estudio: León, Nicaragua. Universidad Politécnica de Madrid.
Programa Mundial de Alimentos. (2017). Seguridad alimentaria y emigración. Por qué la gente huye y el impacto que esto tiene en las familias que permanecen en El Salvador, Guatemala y Honduras (Coord. Chapman R.).
Qi, J., Chehbouni, Al., Huete, A. R., Kerr, Y. H. y Sorooshian, S. (1994). A modified soil adjusted vegetation index (MSAVI). Remote Sensing of Environment, 48(2), 119-126. https://doi.org/10.1016/0034-4257(94)90134-1
Ramos Castro, J. E. (2017). Estudio Geoespacial del Patrimonio Arqueológico en los Departamentos de La Paz y Comayagua de Honduras y Análisis de Vulnerabilidad Mediante Teledetección/SIG. Facultad de Ciencias Espaciales, UNAH.
Rejas Ayuga, J. G., Bosque, J., Malpica, J. A., Maza, F., Dalda, A., Soriano, M. L., Rodríguez, M. G., Bermúdez, J. L., Cerezal, F., Goycolea, R., González, F. J., Alonso, M. C., Gómez, F. J. y Martínez-Frías, J. (2015). Aspectos geoéticos en la docencia del ordenamiento y la gestión del territorio. Revista Ciencias Espaciales, 8(1), 90-110. https://doi.org/10.5377/ce.v8i1.2044
Rejas Ayuga, J. G. (2020). Planetología y ciencias espaciales ante los nuevos desafíos. Ciencias Espaciales, 13(1), 60-71. https://doi.org/10.5377/ce.v13i1.11256
Rivera Gutiérrez, N. L. (2018). Análisis Territorial de las Presiones Antrópicas en el sitio Maya de Copán y su entorno de 1987 a 2017. Facultad de Ciencias Espaciales, UNAH.
Rondeaux, G., Steven, M. y Baret, F. (1996). Optimization of soil-adjusted vegetation indices. Remote Sensing of Environment, 55(2), 95-107. https://doi.org/10.1016/0034-4257(95)00186-7
Rouse, J. W., Haas, R. H., Schell, J. A. y Deering, D. W. (1973). Monitoring vegetation systems in the Great Plains with ERTS. In 3rd ERTS Symposium, NASA SP-351 I, 309-317.
Solana Sanz, P. (2017). Estudio Geoespacial de Corredores Ribereños y Evaluación de sus Funciones Ambientales en Chontales, Nicaragua. Universidad Politécnica de Madrid.
Vallejos Mihotek, M. (2020). Capacidad de Adaptación al Cambio Climático y Dinámicas Migratorias en dos Comunidades del Corredor Seco Hondureño. Universidad Politécnica de Madrid.
Van der Zee, A., van der Zee, J., Meyrat, A., Poveda, C. y Picado, L. (2012). Estudio de caracterización del Corredor Seco Centroamericano, 1. Organización de las Naciones Unidas para la Alimentación y la Agricultura.
Vázquez, I., Rejas, J. G., Rotunho, O. y Barbosa, H. (2017). Análisis del Comportamiento de la Precipitación Estimada a partir de datos TRMM sobre Áreas de Intensa Deforestación en La Amazonía Legal en el Periodo 2001-2013. Revista Ciencias Espaciales, 10(1), 216-239. https://doi.org/10.5377/ce.v10i1.5822
Warner, K. (2011). Desplazamiento Inducido por el Cambio Climático: Política de Adaptación en el Contexto de las Negociaciones sobre el Clima de la CMNUCC. Ed. División de Protección Internacional Alto Comisionado de las Naciones Unidas para los Refugiados (ACNUR).