Migration crises have become focal points in the global discourse, reflecting the complex interplay between humanitarian concerns, political dynamics, and public opinion. Such crises are often marked by rapidly evolving events that challenge traditional research methodologies, necessitating innovative approaches to capture and analyze real-time public reactions. This study delves into one such crisis — the migration crisis at the European border in Ceuta, an enclave in Africa — to shed light on the intricate interconnections between online social opinions, media resonance, and political reactions.
On May 17th, 2021, the shores of the Spanish enclave of Ceuta witnessed an unprecedented influx of migrants from Morocco. This, originating from rumors of a border fence opening, rapidly escalated into a humanitarian crisis that exposed the vulnerabilities of both migrants and the Spanish facilities. The situation reached a critical juncture as thousands of migrants, including minors, sought refuge, swam through treacherous waters, and, in some cases, tragically lost their lives. This crisis was compounded by the hospitalization of Brahim Ghali, the leader of the Polisario (the National Liberation Movement of Western Sahara, a territory claimed by Morocco), who was being treated for a severe COVID-19 infection in Spain. The convergence of these factors transformed a local event into an international concern, triggering substantial media coverage, political reactions, and public engagement.
Against this complex backdrop, this study aims to delve into the nuances of online public reactions surrounding the Ceuta migration crisis. By leveraging the vast troves of real-time data available on online platforms like Twitter, we seek to uncover the diverse ways in which different online communities framed this crisis. While surveys have limitations in capturing rapidly evolving events, platforms like Twitter offer a unique opportunity to capture the dynamism of public reactions and meaning making during such crises. The distinctive feature of Twitter, its instantaneous nature, enables the tracking of online behaviors as events unfold, providing a real-time window into public reactions. In this regard, it provides an “indispensable prism through which social structure and process may be seen” (Abrams, 1982, p. 192). This study contributes to a growing body of literature that explores the role of Twitter in reflecting and shaping public perceptions during such events. By focusing on the Ceuta migration crisis, a paradigmatic case given its geopolitical and humanitarian implications, we seek to understand how online reactions emerge and diverge in response to such events.
The findings indicate that online social opinions (namely the content of the text corpus of the tweets) on Twitter during a migration crisis can exhibit an atomized nature, shedding light on the diverse ways in which different online affective communities frame such events. In fact, despite the prominent role of the far-right in shaping the discussion, migrants were not generally blamed. Most users appeared to view the crisis as a diplomatic conflict rather than a humanitarian issue, and social opinions were directed towards various political, diplomatic, humanitarian, and policy actors. Furthermore, this study represents, to the best of our knowledge, the first comprehensive examination of the international impact on Twitter of a migration crisis in Spain. Specifically, this is addressed by considering tweets in four (non-Spanish) European languages (see section 3). Results confirm limited interest while this crisis on a European external border was mostly regarded as a bilateral/national issue by both (Spanish-speaking and “international”) communities. Users asserting Moroccan sovereignty and/or advocating for a boycott of Spanish products were especially salient in English and French.
This study is structured as follows: first, the existing literature surrounding online framing of migration crises is delved into, discussing the significance of real-time data sources like Twitter. Subsequently, a detailed account of the Ceuta migration crisis is provided, outlining the sequence of events, media resonance, and political reactions. Following this, the data collection and analysis methodology is presented, showcasing how insights were gleaned from over 195,000 tweets. The study then transitions into the results and discussion phases, addressing research questions concerning language-based differences, salient actors, and framing within Twitter discourse.
Compared to surveys, one of the advantages of some online data sources such as Twitter is the ability to provide a detailed examination of social opinions on a specific event in real-time. Surveys are not only expensive, but also require an elaborate design process and a significant amount of time to carry out fieldwork. This can be problematic when examining a rapidly-evolving situation like a migration crisis, where the event may be over by the time the survey data is collected (e.g., CIS study no. 3326, June 2021).1 Online data sources, on the other hand, provide the opportunity to track social reactions during short periods of time, crucial given the fast-moving nature of events during migration crises and the fact that large-scale processes, like agenda setting, commonly have micro-foundations regarding specific media events (e.g., the sudden entry of migrants, or a statement from the far-right) which may span days or hours (Neuman et al., 2014). Therefore, while surveys are more appropriate for analyzing migration attitudes of a certain population, Twitter is valuable for tracking social reactions during a migration crisis (and, in this regard, cannot feasibly replace surveys). By leveraging this data source, researchers can gain a more comprehensive understating of public reactions to migration crises and contribute to more informed policymaking.
Twitter is the leading online platform for political debate in Europe and the US (Combei & Giannetti, 2020; Bestaver et al., 2022). Its fast and easy sharing of information makes it well-suited for covering live events, so the platform’s features lend themselves to the study of social perceptions during migration crises (Tandoc & Johnson, 2016). Numerous studies have shown Twitter to be valuable in this regard, indeed, users “do not in general express generic sentiment on Twitter about immigration” but react to specific events they have encountered online or through traditional media (Bartlett & Norrie, 2015, p. 29). However, researchers should be cautious: this reaffirms Twitter as an imperfect alternative to surveys, users are not necessarily representative, and may be more likely to be young, urban, and educated than the general population (Blank, 2017); while their behavior may be affected by other forms of social pressure (e.g., other users can react to the posts, which are easily accessible through search engines like Google). At the same time, the data is organically generated by users which, coupled with the virtual and possibly anonymous nature of interactions, should mitigate reactivity issues (Bartlett & Norrie, 2015; Fernández et al., 2020), a well-known problem in survey research (Janus, 2010; Creighton & Jamal, 2015; Rinken et al., 2021).
Twitter has been utilized in various studies over the past decade to examine social reactions during migration crises. In Europe, most concern the 2015 refugee crisis and commonly identify two polarized narratives: a humanitarian perspective and a negative narrative based on different threat perceptions (e.g., security, economy, cultural identity). Siapera et al. (2018) distinguish two principal frames: a politized narrative that depicts refugees as a security threat, and a humanitarian frame about human rights and the vulnerable situation of refugees. Gualda and Rebollo (2016) also identified a humanitarian as well as a rejection side based on the association between Islam and terrorism. They argue that the dramatic image of Aylan (a child found dead on a Greek beach) had a significant impact on the online discussion by shifting the debate towards the vulnerability of children. Roncallo-Dow, Córdoba-Hernández and Durán (2019) conclude that such effect was short-lived, and Bozdag and Smets (2017) did not observe a significant shift.
Other studies have identified two main narratives in the online discussion about the 2015 refugee crisis, but also suggest that nuances are discernible depending on the language of the tweets and/or its country of origin. For instance, Öztürk and Ayvaz (2018) compared tweets in English and Turkish, concluding that former expressed more negative opinions (40%) and focused on the war near their borders while users tweeting in English discussed more about national politics. Studies conducted at the national level have reported similar findings: two narratives combined with palpable nuances such as references to the political context and the specific characteristics of the issue in question (Barlett & Norrie, 2015; Krzyzanowski, 2018; Vallo et al., 2020; Combei & Giannetti, 2020).
The extant literature indicates that the polarization of Twitter discussions can be attributed to both internal and external factors: the platform’s characteristics and the influence of media and politicians. Eco-chambers and algorithmic engagement tend to reinforce user’s pre-existing opinions by limiting the exposure to opposing viewpoints, favoring “reverberation” and magnifying confirmation bias (Castillo de Mesa et al., 2020; Ohme, 2021). Yet, some studies prevent against the over-estimation of these dynamics (e.g., Gentzkow & Shapiro, 2011). Additionally, the high volume of tweets on this type of event creates a competitive environment in which users vie for attention and social validation (i.e., likes or retweets), so the 280-characters limit incentivizes the use of categorical or provocative language to attract visibility and engagement.
The influence of news media agencies and political elites also fosters ideological framing (Bartlett & Norrie, 2015; Hadgu et al., 2016; Ferra & Nguyen, 2017). Kreis (2017) concludes that negative tweets are often based on content shared by the media, and Siapera et al. (2018) suggest that they promote securitization and humanitarian narratives, with users mirroring media coverage (Benson, 2013). Ferra and Nguyen (2017) argue that the 2015 migration crisis was discussed similarly to other political issues. The rejection (or acceptance) of foreigners allows politicians to reassure the support of certain segments of the electorate (Vallo et al., 2020): in such exceptional scenarios different political viewpoints compete in the public realm, so stakeholders try to ensure visibility and push their agendas (Bartlett & Norrie, 2015). This influence of media and political elites, along with the specific features of the platform, fosters the organization of users into affective communities: connected through shared affect stories that are selected and interpreted in a primary ideological way (Siapera et al., 2018; Castillo de Mesa et al., 2021).
Despite the extensive literature in the field, the analysis of Twitter data during migration crises in Spain has been limited. A recent study by Fernández et al. (2020) used a sample of 24,000 tweets to qualitatively study reactions to the arrival of the Aquarius boat. Although the study focuses on disinformation campaigns, most tweets related to migrants were neutral or positive, with hostile expressions focusing on the NGO Open Arms as “slave traders”. The leaders of the far-right in Spain and Italy, Santiago Abascal and Matteo Salvini respectively, were among the most prominent users. The authors suggest that users prioritized their ideology and emotions over reported events due to the greater sense of anonymity and the absence of face-to-face contact.
Using online ethnography, Castillo de Mesa et al. (2021) reported similar findings on the crisis while adding that the former narrative revolved around illegal immigration, economic competition and migrants being portrayed as “Islamist”, “thieves” or “rapists”. In a similar vein, Calderón et al. (2021) employed both qualitative and computational methods to analyze a sample of 26,000 tweets posted during the Aquarius migration crisis. This work showed that most tweets were not directed towards migrants (security and economy were the main concerns), as hostility was mostly aimed at national politicians. These studies collected data before the electoral rise of VOX, hence, this is the first to utilize computational methods to analyze Twitter data during a migration crisis since the far-right’s electoral rise in Spain.
Recently, the Ceuta migration crisis has garnered scholarly attention, likely due to its diplomatic, political, and humanitarian implications. Focusing on political communication, Olmos-Alcaraz (2022; 2023a) analyzed VOX’s discursive strategy on Twitter alongside that of other political parties. Utilizing a sample of 762 and 426 tweets (respectively), the results indicate that the party emphasized security threats, advocating for the militarization of the border through an us-versus-them strategy, with migrants and political elites representing the outgroup. Such assertions to reinforce control and security ultimately influenced the narrative of other parties. Focusing more on social opinions, Olmos-Alcaraz (2023b) further analyzed a sample of 766 replies to a VOX tweet concerning the crisis. The study concluded that a majority of responses not only supported but intensified the pejorative tone of the original message. Others contested the tweet by exposing its inaccuracies, highlighting the root causes of migration, or underscoring the contributions of migrants to the country.
Similarly, Román-San-Miguel et al. (2022) conducted a thematic classification of 1,000 tweets in Spanish posted between May 17 and 25, 2021, during the Ceuta migration crisis. Some Moroccan users posted tweets in Spanish calling for violent uprisings against Spain, often mentioning VOX and Abascal as an incentive to do so. Four broad topics were prevalent among users tweeting in Spanish: politics, Ceuta and Melilla sovereignty, the defense of the border, and racism. This study aims to expand and deepen this line of research by using computational methods to analyze a sample of over 195,000 tweets in five different languages related to this event. The Ceuta migration crisis can be considered a paradigmatic case not only because of the recurrent tragedies that took place in the enclave over the last two decades, some related to Morocco claiming sovereignty over the city and Melilla, but also because these territories are the only European borders in the African continent.
In the early morning of May 16th, 2021, rumors started in Spain that Moroccan border police was opening the border fence for passage. In the early hours of the next day, at approximately 2 a.m., migrants start to arrive to the coast of the Spanish enclave of Ceuta. Spanish media reports that 5,000 migrants have crossed the border, the biggest influx in the last decade, and that one person has already died. This event would result in a humanitarian crisis with an allegedly political cause: the hospitalization in Spain of Brahim Ghali, the leader of the Polisario (the National Liberation Movement of Western Sahara, a contender to Morocco in terms of sovereignty claims over this territory), to be treated for a severe COVID infection.
On Tuesday 18th May, events took over: the arrivals rose to 8,000 in one day. The beach next to the border fence was full of exhausted people laying on the ground, mostly youth. Migrants had to swim around a huge dock to get to Spanish territory, so most of them suffered from weariness and hypothermia. Red Cross volunteers arrived to treat them and host the minors (more than 1,500) in warehouses where they were provided with food and accommodation in light of the overfull of the Spanish facilities. Following this instantaneous relief most adults were repatriated to Morocco (Varo, 2021).
Political reactions followed and the crisis ended up having a major media resonance. That same day, the Prime Minister (PM) of Spain, Pedro Sánchez, travels to Ceuta to announce that all adult migrants will be “immediately send back” to Morocco. The Minister of Interior, Fernando Grande-Marlaska, states that the government will make a strong defense of the borders, and units of the Spanish army are deployed in Ceuta. The European Commission issues a statement stressing that the enclave is a European territory, even though this border is ruled by a bilateral agreement and the EU Agency Frontex is not present. Spain hurries to execute an already-planned budget line of 30 million euros to Morocco while the African country withdraws its ambassador. The situation is finally controlled by Moroccan border police on Thursday 20th of May. Meanwhile Santiago Abascal, the leader of the anti-immigration political party VOX, arrived in Ceuta and organized a protest under the slogans “Stop invasion” and “Secure borders”. It was subsequently banned by courts, which caused the party leaders to accuse the Spanish Government of having authoritarian tendencies: the protest took place anyway and developed into riots.
Media resonance and public interest on the Ceuta migration crisis were huge: for instance, during those days both national and international media reported the events (e.g., El País, El Mundo, The New York Times, BBC2), and Google searches in Spain for the topics “Ceuta”, “Immigration” and “Morocco” increased by 96%, 88% and 87% respectively.3 A particular image had a considerable media and social impact: a picture of Luna Reyes, a Red Cross volunteer, hugging a migrant on the beach went viral during those days and was published in major national and international media agencies (e.g., BBC2; Der Spiegel; Le Parisien4). Overall, the Ceuta migration crisis resulted in thousands of migrants returned to Morocco under supposedly illegal circumstances, hundreds of minors being hosted in Spain away from their families, and three deaths (Varo, 2021).
This study is intended to answer three research questions concerning the Twitter online discussion about this dramatic event. First, given previous literature identified palpable differences depending on the language of the tweets (e.g., Gualda & Rebollo, 2016; Öztürk & Ayvaz, 2018; Vallo et al., 2020; Castillo de Mesa et al., 2021), wondering whether (and in which way) the crisis was discussed differently in tweets in Spanish and in other languages (RQ1). Second, the literature suggests that news media agencies and political elites remain as the primary actors in online debates about migration crises, so which were the most salient actors in the Twitter discussion about the Ceuta migration crisis? (RQ2). Finally, since the most prevalent frames interpreting this sort of event on Twitter tend to be ideological and polarized (e.g., Gualda & Rebollo, 2016; Ferra & Nguyen, 2017; Siapera et al., 2018; Calderón et al., 2021), the question arises as which were the main frames interpreting the migration crisis at hand (RQ3).
A sample of 195,936 original tweets was relied on to address these research questions. The sample was obtained using the web-mining tool Minet (Plique et al., 2021) and encompasses the time span from May 1 to June 21, 2021, covering the period before, during, and after the crisis. Tweets that contained the word “Ceuta” were collected: since online data is messy and noisy (Zagheni & Weber, 2015; Bennett, 2018), this sampling strategy aimed to maximize the possibility that tweets concerned exclusively the case at hand (e.g., vs. “border”, “migration crisis”). Retweets and likes do not necessarily express agreement or disagreement but simply repeat the content, so following previous studies only original tweets were examined to get a reliable picture of the opinions contained in the text corpus (Bartlett & Norrie, 2015; Gualda & Rebollo, 2016; Calderón et al., 2021).
The posts were mostly written in Spanish: 170,458 tweets were written in this language whilst 9,906 posts were written in English, 10,116 in French, 2,458 in Italian and only 1,998 in German. Tweets in the five major languages in the EU were considered, but they were not geolocated. The term “international” will be used to refer to tweets in languages other than the national language and, therefore, to users that are not addressing the Spanish-speaking community. Given the vast majority of tweets in Spanish (and also to run the same topic model on different languages, as we will see) it was decided to translate the non-Spanish tweets using Google Translate (de Vries et al., 2018) and so keep more than the 85% of the sample untouched. Once the information was homogenized, the text corpus was cleaned (e.g., removing stop words or punctuation) to then tokenize it and finally restructure the dataset to obtain a frequency matrix.
Subsequently, a descriptive analysis of the content of the posts was carried out: constituent words but also hashtags, links and other users mentioned. The comparison between tweets in Spanish and in the other four major languages in the EU serves as primary evidence to answer the first research question. Additionally, the notoriety of Twitter accounts belonging to political actors (parties, leaders, media, or other type of organizations) compared to other users allows us to address research question RQ2, although all data regarding the content of the tweets should be useful to address politization. Finally, to answer RQ3 an unsupervised machine learning method was applied and ran a topic modelling analysis using the Latent Dirichlet Allocation algorithm (LDA) to cluster the terms in the text corpus.5 Two reasons suggested to compute two separate models depending on the language of the tweets. Firstly, this approach enhances precision in addressing RQ3: since tweets in Spanish were expected to be different, as suggested by Öztürk and Ayvaz (2018) and others (cf., section 2), a combined approach would have concealed the other frames among 85% of those. Second, it also enables the comparison between both groups as required by RQ2, indeed, previous analyses had already unveiled significant differences at this stage (cf., sections 4.1 and 4.2).
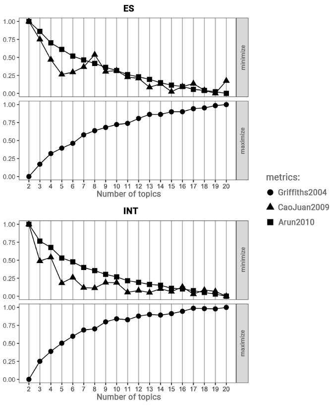
LDA is a popular algorithm for uncovering latent thematic structures in a bottom-up approach (Keller et al., 2020): multinomial probability distributions of terms are derived from its co-occurrence across the corpus. The selection of the number of topics must be predetermined. Hence, three measures assessing the model’s fit with varying numbers of topics (2 to 20) were computed: Griffiths2004, CaoJuan2009 and Arun2010 identify the point where adding more topics ceases to significantly improve its performance (De-la-Hoz, Fernández-Gómez & Mendes, 2021; Niu et al., 2022).6 All provided similar results (see Appendix, Figure 5). The more linear trend for Spanish tweets indicates that the model’s fit increases in parallel with the number of topics: the optimal number was between 15 and 20 clusters. Conversely, for tweets in international languages the fit does not substantively increase from 15 topics on (cf., more curved shape), suggesting that the ideal number of topics is between 10 and 15. From a substantive standpoint (Bian et al., 2017), it is also coherent that a larger sample of tweets in the national language is more nuanced. Considering the goal of the analysis is to synthesize the information, the lower values of these intervals were selected (De-la-Hoz, Fernández-Gómez & Mendes, 2021).
Once the number of topics was determined, the likelihoods of term co-occurrence were computed, allowing the model to assign each word to a topic. These probabilities iteratively update based on observed word-topic assignments until the model converges (i.e., stabilization of the parameters; see Keller et al., 2020). Following LDA model training, that was applied to obtain the document-topic matrix reflecting the most probable topic for each document or tweet. Finally, the topics were grouped based on how they framed (Goffman, 1974)7 the migration crisis, distinguishing it political, diplomatic, policy or humanitarian dimensions for ease of understanding. Note that this interpretative-based grouping provides a holistic perspective without altering the more nuanced nature of the results.
Figure 1 depicts the number of tweets containing the term “Ceuta” posted between May 1st and June 21st, yet most activity was concentrated between May 16th and 25th. The rumors regarding arrivals on the first day did not stimulate any significant online discussion: the first peak became evident only after the first arrivals had materialized. However, the highest peak occurred on May 18th, with more than 10,000 mentions coinciding with the day when the arrivals surged to 8,000, the PM of Spain visited Ceuta, and the military was deployed to the enclave. On the following day, when Santiago Abascal arrived, mentions reached a peak of 6,000 to then start a progressive drop between May 20th and 23rd coinciding with the end of the entries. Notably, the last peak that can be seen in Twitter activity occurred during the following two days, when Vox’s protest took place.


The salience of Twitter users provides crucial evidence for examining the significance of political actors suggested by these initial observations. Figure 2 displays the most frequently mentioned Twitter users during the Ceuta migration crisis by language. The account of the country’s PM was the most mentioned in tweets in Spanish, which is not surprising given his responsibility for handling the situation. Notably, the second most mentioned user was Santiago Abascal, with a comparable number of mentions (5,000 vs. 4,300). The broader influence of VOX stands out: the national profile of the party is in third position, while its Ceuta’s local account (@voxceuta) is only exceeded by the mentions to the leader of the opposition party (@pablocasado). The counterpoint to the relevance of the far right is the relatively slight notoriety of the Movement for Dignity and Citizenship, a progressive local political party led by Fátima Hamed Hossain. Likewise, the presence of the majoritarian political forces in the Spanish Parliament among top 10 most mentioned accounts (@populares, @psoe) suggests a politized debate. Finally, the study also finds El País and YouTube as representatives of traditional and social media respectively.
The number of mentions to users on other languages was much smaller than in Spanish, suggesting that the Ceuta migration crisis had less notoriety internationally. Still, some interesting differences between languages are discernable. Most mentioned users in tweets in English were mainly mainstream politicians who do not belong to the far-right, such as Sánchez, Von der Leyen or Carles Puigdemont (@krls, the former President of the Catalonian Government). In tweets in French, the influence of media was majoritarian (yet accounts belonging to the far right are in the eighth and ninth position). In the Italian case, the salience of users related to the far right, such as Matteo Salvini, Georgia Meloni, and Fratelli d’Italia, was higher compared to media. Finally, media networks such as Welt, Der Spiegel or Google News dominated the scene in the German case, with no significant influence of the far-right.
In short, the salience of Twitter users suggests a politized debate with a considerable influence of the far right in the Spanish case. Internationally, this analysis reveals that media outlets were dominant in tweets in French and German, whilst far-right politicians were salient in tweets in Italian. Thus, the results highlight the role of media and political elites, particularly those belonging to far-right parties, in shaping online social opinions during a migration crisis, but how was the content of the tweets beyond user’s salience? The next section addresses this question.
The analysis begins by examining the constituent words of the tweets about the Ceuta migration crisis. Besides “Ceuta”, the second most mentioned term in the Spanish case was “Melilla” followed by “Morocco”, with over 30,000 mentions each, while “Spain” was mentioned in 25,000 tweets. This suggest that the Ceuta migration crisis was largely perceived as a diplomatic conflict between Morocco and Spain, with a focus on the sovereignty of Ceuta and Melilla. Additionally, other keywords related to political actors were salient: over 16,000 mentions of the government, almost 10,000 mentions of VOX, and just under 9,000 tweets referencing Moroccans and Pedro Sánchez. The term “migrants” appeared in only 7,400 tweets, four times less than top-3 words resembling diplomatic jargon: the focus of attention was not primarily on migrants when compared to other actors. In this regard, the Ceuta migration crisis was predominantly viewed as a diplomatic and/or political conflict rather than a humanitarian issue. In contrast, “migrants” appeared among the top three most mentioned words in tweets in all other languages considered (along with the names of the two countries). It was the third most prevalent word in tweets in English, the second in French, and the most frequently used word in tweets in Italian and German. Again, note that English and French show significantly higher numbers.

The results on most shared links are in line with the former and provide with key evidence on media’s influence. Among the top five most shared URLs in tweets in Spanish, the majority consisted of press reports (see Appendix, Table 1). They did not focus on migrants but on the diplomatic conflict between Spain and Morocco or the national political scene. For instance, two news stories highlighted that the Spanish Government paid Morocco to stop the entries, while another two emphasized that Morocco intentionally caused the migration crisis. One of the reports, published by El Faro de Ceuta a local newspaper, claimed that Morocco deceived children by spreading a rumor that Cristiano Ronaldo was in the enclave, while El Mundo stated that Moroccan border police opened the border fence for minors to enter Ceuta. Although the number of tweets containing each link was relatively low, shared links in tweets written in other languages were mainly descriptive news stories about the enclave and/or the crisis. This could be attributed to the fact that both issues were relatively unknown internationally.
A final feature that might be especially important to analyze the content of the tweets are hashtags: words or short sentences that accompany the text and summarize the content of the post by topic and/or opinion (e.g., #Ceuta or #GoVox). This grouping allows users to allocate tweets regarding a particular topic or opinion of their interest, so in this regard hashtags can be interpreted as an organic classification of the tweets (Zappavigna, 2012; Kreis, 2017). In tweets in Spanish, the most prominent hashtags were #Morocco and #Spain, which may reinforce the idea that the crisis was mainly perceived as a conflict between the two countries (see Appendix, Figure 5). Indeed, the other territory claimed by Morocco, #Melilla, was the third most used hashtag. Several hashtags with explicit political claims were also salient, including demands for the Spanish “Government” to “resign”, support for the political party VOX as the only solution (“#SoloquedaVOX”), and accusations that the leader of the conservative opposition party, Casado, is a “traitor”. Moreover, the hashtag #DefendCeuta implies that either Morocco or migrants are perceived as a threat to the enclave. Traditional media also had an influence on the use of hashtags (RTVE), likely due to its live coverage of the crisis.
On an international level, #Morocco and #Spain were unsurprisingly among the top three most prevalent hashtags. Notably, hashtags favoring Moroccan interests were noticeable not only in French but also in English, with some advocating for Moroccan sovereignty over Ceuta and Melilla (e.g., #Ceuta&MelillaMoroccan), and others calling for a boycott of Spanish products. The hashtag #migrants was the most prominent only in Italian, while the EU was salient in hashtags in German. Given the plurality of hashtags and keywords emphasizing the situation of migrants, the diplomatic conflict, and/or the political implications of the crisis, the question arises as whether users addressed the issue from different frames.
The objective of the topic modelling analysis is to answer this question and so provide a nuanced understanding of the online discussion by identifying specific topics beyond the most frequently mentioned features. Figure 4 displays the results of the analyses for tweets in Spanish and in other languages, categorizing five frames with different colors: political issue (dark blue), diplomatic conflict (medium-dark blue), policy issue (medium-light blue), humanitarian crisis (light blue), and light yellow for topics that are too general or descriptive to be classified. The boxes in the figure represent the topics within each frame, offering a detailed perspective on their application (e.g., political framing can be applied by supporting the government or by blaming them and endorsing VOX). Note that the picture is especially complex for the Spanish case, hence, the grouping into frames seemed advisable to gain a holistic perspective but does not alter the nuanced nature of the results.

The analysis will commence by exploring the three topics that frame the Ceuta migration crisis as a diplomatic conflict between Spain and Morocco. The first topic (6.1% of the tweets) comprises general terms related to the crisis, Morocco, Spain, migration, and border, so it was labeled as diplomatic clash. Another cluster urges the Government to address the diplomatic conflict (9.5%), featuring mentions to Spain, the Government and Sánchez and to the territories claimed by Morocco (Ceuta, Melilla, and Canarias), coupled with verbs such as “proceed” and “now”. The third focuses exclusively on the sovereignty of these Spanish territories (8.3%): references to these domains are as well as mentions specifically related to ownership. Within the Diplomatic clash frame, another topic is labeled as Moroccan Blackmail (7.4%): mentions to Morocco and Mohamed VI, and to the situation in Ceuta and Melilla, are related with references to Western Sahara.
The topics framing the crisis as a political issue constitute 25.3% of the tweets. The most prominent topic (7.2%) revolves around Spanish political actors, with VOX being the most salient term followed by the opposition and governing parties. A second cluster (5.8%) is labelled as “Government vs. Abascal”, combining terms like Sánchez, president, and Marlaska (the Minister of Interior), together with Abascal and invasion. The far-right’s notoriety is likewise indicated by a topic referring to the VOX protest and Abascal’s visit to the enclave (6.6%). A final topic within this frame refers to the opposition leader and party (5.7%), Pablo Casado and the PP, together with the terms Moroccan and party, arguably regarding the reunion he had with a Moroccan political force.
The Twitter discussion also reflects a humanitarian perspective (all topics reunite 19.4% of the sample). Within this perspective, 7.9% of the terms emphasize migrants as humans and the shameful situation in the enclave. The topic Rescue and Security Forces (4.4%) includes terms like police, Guardia Civil, and Red Cross, and references to the rescue of a baby in the sea by an officer. Interestingly, only in these topics the term migrant instead of immigrant is used. Another topic within the humanitarian frame highlights minors who were allegedly deceived and separated from their families (7.1%), comprising words such as Moroccan, child or sons along with families and fathers.
Moreover, the analysis reveals two topics focusing on policy issues. For instance, 4.2% of the terms focus on the reception of minors and related operating issues, such as their distribution among different regions; while the cluster territorial integrity (5,4%) combines mentions to government and borders with terms such as security, defend, support, or army. A topic labeled as Confusion also emerged, apparently highlighting the uncertainty that prevailed during this dramatic and fast-moving event (7.9%). It includes a general and unclear description of the event (e.g., people, go through) together with some words indicating uncertainty (seems, apparently) and others emphasizing this fast-moving nature of the event (now, today). A final cluster (6.4%) regards the live coverage of the Ceuta migration crisis, with references to the public TV network RTVE, “today”, and the situation in the city of Ceuta.
On the international level, the Twitter conversation is less fragmented and more descriptive, with no presence of the politics or policy frame. Arguably because of the enclave being less known, some topics inform about the migratory crisis (8,4%), the situation at the border and the army’s deployment (9,4%) or the existence of two territories belonging to a European country in Africa (11,3%). The humanitarian frame is more dominant than in the national language, accounting for 33,2% of the tweets. Impactful images of Luna and the baby’s rescue had a greater impact on the international discussion (5,4% and 6,4% of the tweets respectively). Additionally, two other topics address the situation of unaccompanied minors and migrants who had to swim to reach to Spanish territory (10% and 11,4% respectively).
Finally, the Diplomatic row frame was similar to that of tweets in Spanish. A general descriptive topic that was labeled as Diplomatic clash (11,9%), with EU as the first term followed by Spain, Europe, and Morocco. Territorial Sovereignty (16,8%) includes references to Ceuta, Melilla, Gibraltar, or Western Sahara together with words such as Spanish and Moroccan. Notably, another topic within this frame consists in terms favoring Moroccan interest, aligning with former results on hashtags (8,9%). The cluster contains similar slogans, such as “Ceuta and Melilla are Moroccan” or “Boycott Spanish products”, as well as references to the Polisario Movement.
As noted, the Twitter discussion on the Ceuta migration crisis in European languages was more focused on migrants while the discourse in the Spanish case was more nuanced and politically charged. Political actors emerged as the most salient users, as supported not only by their frequency of mentions but also by keywords, hashtags, and topics. The influence of the radical right consistently manifested in various aspects of the analysis: three out of the top five most mentioned users belonged to VOX, the party’s name featured prominently in the tweets, and hashtags suggest that VOX managed to organize campaigns in its own interest and/or against the government. Furthermore, despite the fragmentation of tweets in Spanish, we identified four frames. The Diplomatic frame comprised 27% and three different topics, but its importance is also evident in most mentioned terms and hashtags. The Political frame represented 25% of the terms and, in line with previous findings, VOX was widely salient. Finally, as suggested by the references to migrant individuals, immigration (as a phenomenon), and COVID among the most mentioned keywords and hashtags, the analysis also revealed concerns about the humanitarian aspect (17%) and policy implications (10%) respectively.
But despite internal consistency the results should be interpreted with caution. As with any scientific research, the nature of the data and the methodological procedures utilized can influence the results. The limited sample size of tweets in German and Italian prevented against conducting a separate topic modelling. Discarding retweets and likes offers a more reliable representation (Bartlett & Norrie, 2015; Gualda & Rebollo, 2016; Calderón et al., 2021) but involves disregarding a greater number of less meaningful interactions. The sample only includes Twitter users, and so those with Internet access who actively use the platform, which may be younger, and more urban and educated than the general population (Blank, 2017). Some users produce more tweets than others, and the platform’s features might foster ideological polarization (Ferra & Nguyen, 2017; Siapera et al., 2018; Castillo de Mesa et al., 2020; Fernández et al., 2020). Moreover, the quantitative nature of the results prevents us from identifying fully coherent narratives beyond its basic constituent elements (objects/subjects).
Additionally, it is worth noting that not all aspects of the object under study were considered. While analyzing tweets in the language of the sending country could have been insightful, we followed previous studies in focusing on the receiving side, specifically on users tweeting in European languages, to examine pro- and anti-immigration discourses (e.g., Bartlett & Norrie, 2015; Gualda & Rebollo, 2016; Bozdag & Smets, 2017; Öztürk & Ayvaz, 2018), which goes in line with broader literature on attitudes towards immigrants and immigration (see Ceobanu & Escandell, 2010; Hainmueller & Hopkins, 2014); yet not all users have to reside in Europe necessarily. As has been previously done in the field of migration, future studies should examine online discussions about migration crises from the complementary perspective of the sending country, which may not offer empirical evidence on anti-immigration discourses but on the needs and causes of the migration process.
The findings are consistent with previous research, as they highlight the high degree of politization of Twitter discussions surrounding migration crises (Hadgu et al., 2016; Öztürk & Ayvaz, 2018; Vallo et al., 2020) and the prominent role played by media outlets and particularly political elites in shaping these discussions (Bartlett & Norrie, 2015; Ferra & Nguyen, 2017; Siapera et al., 2018). Indeed, they suggest that VOX effectively mobilized users to support their interests, ultimately contributing to the politization of the debate, in line with previous studies (Olmos-Alcaraz, 2022, 2023a, 2023b). Moreover, a humanitarian narrative was observed, focusing on migrant minors and Luna (Red Cross volunteer), and a negative narrative based on a threat perception, particularly an invasion, which also is coherent with previous literature (Gualda & Rebollo, 2016; Kreis, 2017; Siapera et al., 2018; Vallo et al., 2020). However, references to invasion, migrants and even to national politics encompass only a part of the sample.
To start with, keywords, hashtags, and topics suggested that the event was mostly perceived as a diplomatic conflict between Spain and Morocco. Indeed, some users seemed to perceive it as a form of blackmail orchestrated by Morocco while others conceived it more as a conflict regarding the sovereignty of Ceuta and Melilla. Interestingly, certain users expressed concerns related to policy areas, including border securitization and the care of unaccompanied migrant minors. Additionally, there is a considerable presence of confusion, with expressions arguably reflecting turmoil and/or concern. Thus, the research question RQ2 can be answered by saying that two or three consistent narratives were not observed, but a more complex and nuanced online discussion with different communities of users revolving around distinctive aspects of the conflict. Overall, the results suggest that social opinions on Twitter during a migration crisis can be atomized rather than having a low number of well-stablished narratives, and shed light on the diverse ways in which different online affective communities frame such events, as described below.
In this regard, frames were employed as an interpretative tool to gain a comprehensive understanding of the main topics discussed given the fragmentation of online opinions, similarly to the thematic classification used by Román-San-Miguel et al., (2022). Arguably because of its quantitative orientation and the subsequent difference in sample sizes, the results of this study also show significant differences beyond main themes and thus provide a more nuanced picture of online social opinions (e.g., topic modelling revealed 15 clusters, and the plurality in most mentioned users, keywords, and hashtags was also palpable). It is essential to grasp these differences because they reflect opinions not only on different subjects, as we have seen, but also towards different objects. Several actors can be perceived as being responsible for the situation and act as scapegoats even if users agree in framing the crisis as a diplomatic, political, policy, or humanitarian issue (e.g., Morocco/Government, Sánchez/Abascal, migrants/Luna as a member of a NGO).8 Migrants were far from being the sole actors to be blamed, in line with other national research (Fernández et al., 2020; Calderón et al., 2021; Castillo de Mesa et al., 2021).
Yet, in contrast to these studies, the results go beyond the salience of political elites and NGOs (in this case, represented by Luna). Based on a relatively large sample of tweets, they indicate that most Twitter users tended to emphasize the role of Morocco on the one hand or the Spanish Government and/or Sánchez on the other. The radical right also managed to be salient, reaching a similar notoriety than that of the PM. Overall, these findings reveal that Twitter social opinions during the Ceuta migration crisis were directed towards a remarkably high number of actors, which can act as alternative or complementary scapegoats in different narratives: VOX, Abascal, Sánchez, the Government, Morocco, Mohamed VI, migrants, or Luna (as an NGO member). This wide range of political actors serving as alternative scapegoats suggest that users were organized into different online affective communities, given the Ceuta migration crisis was primarily interpreted by a plurality of ideological narratives (Siapera et al., 2018; Castillo de Mesa et al., 2021). Answering the second research question (RQ2), it can be said that Morocco, the Spanish Government and VOX were the most salient actors in this online discussion, while migrants or Luna emerged as secondary themes.
To our knowledge, this is the first study to comprehensively examine the international impact on Twitter of a migration crisis in Spain. This international dimension is especially important since Ceuta and Melilla are a European external border. Both Spain and the EU have recently paid Morocco hundreds of millions of euros to allegedly control irregular migration, thus revealing that this is a strategic matter (Martín, 2022; El País, 2023). Indeed, the Spanish Government pushed to frame the Ceuta crisis as a European issue to gain bargaining power (Europa Press, 2021). The results of this study reveal major differences between social opinions in tweets in Spanish and in other European languages, fundamentally in terms of salience, the dimension of the crisis, which is emphasized, and the importance given to the social and political context of the crisis (Bartlett & Norrie, 2015; Krzyzanowski, 2018; Vallo et al., 2020; Combei & Giannetti, 2020). This is in line with Ötzurk and Ayvaz (2018) and reinforces the idea that the crisis is discussed differently depending on user’s relative distance with respect to the event. Overall, the discussion in other European languages is less atomized and politized while also more descriptive and focused on migrants and migration. For instance, besides the fact that the image of Luna Reyes had certain impact on the Twitter discussion overall, which is coherent with some studies (Gualda & Rebollo, 2016; Roncallo-Dow, Córdoba-Hernández & Durán, 2019; Calderón et al., 2021),9 the results also show that its relative influence was significantly higher in the international sphere than among local users. Another notable example is that the EU only appeared as a relevant actor in tweets in non-Spanish languages. However, the notoriety of the Ceuta migration crisis in this domain was relatively low and mostly concentrated in English and French, while users tweeting in Italian and German displayed little interest in the issue.
Indeed, the study also found divergencies between tweets in English, French, Italian and German. English was more an “official language” since most mentioned users were institutional actors. Tweets in French were the most prevalent internationally and showed a special focus on Morocco, which may be attributed to both historical ties and Moroccan users tweeting in this language. Remarkably, it can be seen the Moroccan influence in most mentioned users and hashtags in tweets in both languages, such as those calling for a boycott of Spanish products or explicitly affirming the Moroccan sovereignty over Ceuta and Melilla. This result, together with the prevalence of hashtags supporting VOX, suggests that tweets may stem from orchestrated campaigns, thereby promoting political content. In contrast, the number of tweets in Italian and German was considerably lower, and users focused more on immigrants and immigration. The former case is especially relevant since several migration crisis have taken place in this European Southern border during the last decade, and these results indicate that far-right users, such as Georgia Meloni or Matteo Salvini, managed to be the most salient. Finally, tweets in German appeared to display a more neutral approach and a greater influence of media.
In contrast to some literature that identifies two or three distinct narratives mainly concerning migrants, this analysis of Twitter social opinions on the Ceuta migration crisis reveals a more nuanced picture. This finding carries particular significance considering Twitter’s tendency to foster bipolarization (Siapera et al., 2018; Castillo-de-Mesa et al., 2021), and especially within the context of Spain, where the correlation between migration attitudes and ideology has increased (from 0,15 to 0,4) in recent years, after the electoral rise of the far-right (González & Rinken, 2021). The observations confirm the politically charged nature of the Spanish debate, yet politicians, migrants, and NGOs were not the sole actors subjected to blame. The atomization of online social opinions, namely pronounced differences in the objects and subjects of the tweets, provides valuable insights into the dynamics of affective communities and how each group frames the issue.
Overall, social opinions on Twitter during the Ceuta migration crisis were geared towards a surprisingly high number of actors, which can be used as exclusionary or complementary scapegoats: VOX, Abascal, Sánchez, the Government, Morocco, migrants, or NGOs. Users also appeared to emphasize different dimensions of the crisis, perceiving it as a diplomatic, political, humanitarian or policy issue. Specifically, the results suggest that Morocco, the country of origin, can act as predominant scapegoat. Although alternative scapegoating may be related to the fact that migrants were far from being generally blamed (i.e., mentioned by much fewer users than other actors), this also places the Spanish Government on the spotlight, favoring politization. Indeed, besides its huge influence and the signs of explicit support to the party, VOX may have promoted and benefitted from the opposition against this institution. Given that migrants played a secondary role, and that VOX fueled such discourse, the anti-establishment rhetoric might have obscured anti-immigration or xenophobic statements, potentially rendering their assertions more socially acceptable.
The international dimension of the Twitter discussion is also noteworthy, primarily since Ceuta and Melilla are a European external border, the sole in the African continent. The EU and the Spanish Government have recently made financial efforts to address the issue (Martín, 2022; El País, 2023), and the latter attempted to position the crisis as a European matter instead of a bilateral conflict (Europa Press, 2021), something to which social interest can be crucial. First, substantive differences between international languages were found: those tweeting in French focused more on Morocco, English ones were dominated by mainstream and Italian ones by far-right politicians, whereas migrants and migration were prominent in the German case.
Remarkably, this study confirms that, while international users generally showed a greater focus on migrants, their overall interest on the event was relatively low. Both the international and the Spanish-speaking online community primarily perceived the crisis on this European border as a bilateral conflict between Morocco and Spain. The EU only appeared as a relevant actor among the former while the latter (also) perceived it as a (pro- or anti-government) national political issue. This result is particularly relevant considering that, despite the limited attention garnered by the Ceuta migration crisis on an international scale, users expressing support for Moroccan sovereignty over Ceuta and Melilla and/or calling for a boycott of Spanish products were noticeable internationally, particularly in English and French.
The authors express their gratitude for the valuable comments and suggestions received from Sebastian Rinken, Lukas Warode, Katharina Tittel, and two anonymous reviewers. This research was funded by the Ministerio de Universidades, Gobierno de España through a doctoral grant (FPU 2019/02168).
Abrams, P. (1982). Historical sociology. Open books.
Ahmad, S. R., Bakar, A. A., & Yaakub, M. R. (2019). A review of feature selection techniques in sentiment analysis. Intelligent data analysis, 23(1), 159-189. https://doi.org/10.3233/IDA-173763
Bartlett, J., & Norrie, R. (2015). Immigration on Twitter: understanding public attitudes online. Demos.
Bennett, S. (2018). New “crises,” old habits: Online interdiscursivity and intertextuality in UK migration policy discourses. Journal of Immigrant & Refugee Studies, 16(1-2), 140-160. https://doi.org/10.1080/15562948.2016.1257753
Benson, R. (2013). Shaping immigration news: A French-American comparison. Cambridge University Press. https://doi.org/10.1017/CBO9781139034326
Bestaver, S., Shah, S., Rivero, G., & Smith, A. (2022, August 16). Politics on Twitter: One-third of tweets from U.S. adults are political. Pew Research Centre. https://www.pewresearch.org/politics/2022/06/16/politics-on-twitter-one-third-of-tweets-from-u-s-adults-are-political/
Bian, J., Zhao, Y., Salloum, R. G., Guo, Y., Wang, M., Prosperi, M., & Sun, Y. (2017). Using social media data to understand the impact of promotional information on laypeople’s discussions: a case study of lynch syndrome. Journal of medical Internet research, 19(12), 414. https://doi.org/10.2196/jmir.9266
Blank, G. (2017). The digital divide among Twitter users and its implications for social research. Social Science Computer Review, 35(6), 679-697. https://doi.org/10.1177/0894439316671698
Bonaccorsi, A., Melluso, N., & Massucci, F. A. (2022). Exploring the antecedents of interdisciplinarity at the European Research Council: a topic modeling approach. Scientometrics, 127(12), 6961-6991. https://doi.org/10.1007/s11192-022-04368-9
Bozdag, C., & Smets, K. (2017). Understanding the images of Alan Kurdi with “small data”: A qualitative, comparative analysis of tweets about refugees in Turkey and Flanders (Belgium). International Journal of Communication, 11, 24.
Calderón, C., Blanco-Herrero, D., Frías-Vázquez, M., & Seoane-Pérez, F. (2021). Refugees welcome? Online hate speech and sentiments in twitter in Spain during the reception of the boat Aquarius. Sustainability, 13(5), 2728. https://doi.org/10.3390/su13052728
Castillo-de-Mesa, J., Méndez-Domínguez, P., Carbonero Muñoz, D., & Gómez Jacinto, L. (2021). Homofilia, polarización afectiva y desinformación en Twitter: caso de estudio sobre la crisis migratoria #Openarms. Redes: Revista hispana para el análisis de redes sociales, 32(2), 153-172. https://doi.org/10.5565/rev/redes.913
Ceobanu, A. M., & Escandell, X. (2010). Comparative analyses of public attitudes toward immigrants and immigration using multinational survey data: A review of theories and research. Annual review of sociology, 36, 309-328. https://doi.org/10.1146/annurev.soc.012809.102651
Combei, C. R., & Giannetti, D. (2020). The immigration issue on Twitter political communication. Italy 2018-2019. Comunicazione politica, 21(2), 231-263. https://doi.org/10.3270/97905
Creighton, M. J., Jamal, A., & Malancu, N. C. (2015). Has opposition to immigration increased in the United States after the economic crisis? An experimental approach. International Migration Review, 49(3), 727-756. https://doi.org/10.1111/imre.12091
El País. (2023, February 1). Marruecos y España sellan la paz con 800 millones de euros en créditos para empresas. El País - Cinco días. https://cincodias.elpais.com/cincodias/2023/02/01/economia/1675278255_275882.html
Europa Press. (2021, May 21). España da por buena la reacción de la UE ante el incidente en Ceuta y no espera más medidas. Europa Press Internacional. https://www.europapress.es/internacional/noticia-espana-da-buena-reaccion-ue-incidente-ceuta-no-espera-mas-medidas-20210521211614.html
Fernández, Á. F., Guijarro, A. R., & Antón, L. A. (2020). Analysis of the discursive characterization of migratory stories on Twitter: The Aquarius case. Revista Latina de Comunicación Social, 77, 1-18. https://doi.org/10.4185/RLCS-2020-1446
Ferra, I., & Nguyen, D. (2017). #Migrantcrisis: “tagging” the European migration crisis on Twitter. Journal of Communication Management, 21(4), 411-426. https://doi.org/10.1108/JCOM-02-2017-0026
Gentzkow, M., & Shapiro, J. M. (2011). Ideological segregation online and offline. The Quarterly Journal of Economics, 126(4), 1799-1839. https://doi.org/10.1093/qje/qjr044
Goffman, E. (1974). Frame analysis: An essay on the organization of experience. Harvard University Press.
González Enríquez, C., & Rinken, S. (2021). Spanish public opinion on immigration and the effect of VOX [ARI 46/2021]. Elcano Royal Institute. https://media.realinstitutoelcano.org/wp-content/uploads/2021/10/ari46-2021-gonzalezenriquez-rinken-spanish-public-opinion-on-immigration-and-the-effect-of-vox.pdf
Greimas, J. G. (1987). On Meaning: Selected Writings in Semiotic Theory. University of Minnesota Press.
Gualda, E., & Rebollo, C. (2016). The refugee crisis on Twitter: A diversity of discourses at a European crossroads. Journal of Spatial and Organizational Dynamics, 4(3), 199-212.
Hadgu, A. T., Naini, K. D., & Niederée, C. (2016). Welcome or not-welcome: Reactions to refugee situation on social media. Germany: L3S Research Center, Leibniz Universität Hannover. https://arxiv.org/pdf/1610.02358v1.pdf
Hainmueller, J., & Hopkins, D. J. (2014). Public attitudes toward immigration. Annual review of political science, 17, 225-249. https://doi.org/10.1146/annurev-polisci-102512-194818
Hoz, J. de la, Fernández-Gómez, M. J., & Mendes, S. (2021). LDAShiny: An R package for exploratory review of scientific literature based on a Bayesian probabilistic model and machine learning tools. Mathematics, 9(14), 1671. https://doi.org/10.3390/math9141671
Janus, A. L. (2010). The influence of social desirability pressures on expressed immigration attitudes. Social Science Quarterly, 91(4), 928-946. https://doi.org/10.1111/j.1540-6237.2010.00742.x
Keller, T. R., Hase, V., Thaker, J., Mahl, D., & Schäfer, M. S. (2020). News media coverage of climate change in India 1997-2016: Using automated content analysis to assess themes and topics. Environmental Communication, 14(2), 219-235. https://doi.org/10.1080/17524032.2019.1643383
Kreis, R. (2017). #refugeesnotwelcome: Anti-refugee discourse on Twitter. Discourse & Communication, 11(5), 498-514. https://doi.org/10.1177/1750481317714121
Krzyżanowski, M. (2018). Social media in/and the politics of the European Union: Politico-organizational communication, institutional cultures and self-inflicted elitism. Journal of Language and Politics, 17(2), 281-304. https://doi.org/10.1075/jlp.18001.krz
Martín, M. (2022, August 15). Marruecos recibirá 500 millones de la UE para que controle sus fronteras. El País. https://elpais.com/espana/2022-08-15/marruecos-recibira-500-millones-de-la-ue-para-que-controle-sus-fronteras.html
Neuman, W. R., Guggenheim, L., Mo Jang, S. A., & Bae, S. Y. (2014). The dynamics of public attention: Agenda-setting theory meets big data. Journal of communication, 64(2), 193-214. https://doi.org/10.1111/jcom.12088
Niu, Q., Liu, J., Kato, M., Shinohara, Y., Matsumura, N., Aoyama, T., & Nagai-Tanima, M. (2022). Public opinion and sentiment before and at the beginning of COVID-19 vaccinations in Japan: Twitter analysis. JMIR infodemiology, 2(1), e32335. https://doi.org/10.2196/32335
Ohme, J. (2021). Algorithmic social media use and its relationship to attitude reinforcement and issue-specific political participation. The case of the 2015 European immigration movements. Journal of Information Technology & Politics, 18(1), 36-54. https://doi.org/10.1080/19331681.2020.1805085
Olmos-Alcaraz, A. (2022). Populism and racism on social networks: An analysis of the Vox discourse on Twitter during the Ceuta “migrant crisis”. Catalan Journal of Communication & Cultural Studies, 14(2), 207-223. https://doi.org/10.1386/cjcs_00069_1
Olmos-Alcaraz, A. (2023a). El discurso político sobre las migraciones en Twitter durante la “crisis migratoria” de Ceuta (2021). Cultura, Lenguaje y Representación, 31, 13-30. https://doi.org/10.6035/clr.6793
Olmos-Alcaraz, A. (2023b). Respuestas ciudadanas a la extrema derecha en Twitter durante la “crisis fronteriza” de Ceuta (2021). Estudios Fronterizos, 24. https://doi.org/10.21670/ref.2321132
Öztürk, N., & Ayvaz, S. (2018). Sentiment analysis on Twitter: A text mining approach to the Syrian refugee crisis. Telematics and Informatics, 35(1), 136-147. https://doi.org/10.1016/j.tele.2017.10.006
Plique, G., Breteau, P., Farjas, J., Théro, H., & Descamps, J. (2021). Minet, a Webmining CLI Tool; Library for Python (version 0.53.2). Zenodo. https://doi.org/10.5281/zenodo.4564399
Rinken, S., Pasadas-del-Amo, S., Rueda, M., & Cobo, B. (2021). No magic bullet: estimating anti-immigrant sentiment and social desirability bias with the item-count technique. Quality & Quantity, 55(6), 2139-2159. https://doi.org/10.1007/s11135-021-01098-7
Román-San-Miguel, A., Olivares García, F. J., & Jiménez-Zafra, S. M. (2022). El discurso de odio en Twitter durante la crisis migratoria de Ceuta en mayo de 2021. Icono14, 20(2). https://doi.org/10.7195/ri14.v20i2.1858
Roncallo Dow, S., Córdoba-Hernández, A. M., & Durán Camero, M. (2019). Aylan Kurdi, Twitter and the short-lived outrage. Revista Española de Investigaciones Sociológicas, 165, 121-142. https://doi.org/10.5477/cis/reis.165.121
Siapera, E., Boudourides, M., Lenis, S., & Suiter, J. (2018). Refugees and network publics on Twitter: Networked framing, affect, and capture. Social Media+ Society, 4(1), 1-21. https://doi.org/10.1177/2056305118764437
Tandoc Jr., E. C., & Johnson, E. (2016). Most students get breaking news first from Twitter. Newspaper research journal, 37(2), 153-166. https://doi.org/10.1177/0739532916648961
Vallo, Z., Jaworek, R., & Matlach, V. (2020). Islamophobic Discourse of Czech Politicians and Political Parties on Twitter during the 2015 Migration Crisis. Journal of Nationalism, Memory & Language Politics, 14(2), 152-176. https://doi.org/10.2478/jnmlp-2020-0009
Varo, L. J. (2021, May 28). La fiscalía de Ceuta investiga las devoluciones en caliente de menores durante la crisis fronteriza. El País. https://elpais.com/espana/2021-05-28/la-fiscalia-de-ceuta-investiga-las-devoluciones-en-caliente-de-menores-durante-la-crisis-fronteriza.html
Vries, E. de, Schoonvelde, M., & Schumacher, G. (2018). No Longer Lost in Translation: Evidence That Google Translate Works for Comparative Bag-of-Words Text Applications. Political Analysis, 26(4), 417-430. https://doi.org/10.1017/pan.2018.26
Zagheni, E., & Weber, I. (2015). Demographic research with non-representative internet data. International Journal of Manpower, 36(1), 13-25. https://doi.org/10.1108/IJM-12-2014-0261
Zappavigna, M. (2012). Discourse of Twitter and social media: How we use language to create affiliation on the web. Continuum. https://books.google.es/books?hl=es&lr=&id=gQBHAQAAQBAJ&oi=fnd&pg=PP1&dq=Zappavigna,+2012+Twitter&ots=bKwcZpOIlS&sig=PfyErqc1qlm3FObmChFQo00nXj4# v=onepage&q=Zappavigna%2C%202012%20Twitter&f=false


| URL | Content |
|---|---|
| https://twitter.com/sanchezcastejon/status/1394555877101916165 | PM tweet on the crisis (focus on territorial integrity) |
| https://www.elplural.com/politica/casado-reunio-11-mayo-lider-partido-marroqui-reclama-ceuta-melilla_266818102 | News story (NS): The opposition leader Pablo Casado had a reunion with the leader of a Moroccan party that claims Ceuta and Melilla for the African country |
| https://www.elindependiente.com/espana/2021/05/18/el-gobierno-da-una-ayuda-de-30-millones-a-marruecos-en-plena-crisis-migratoria-de-ceuta/ | NS: The Government provides Morocco with a 30-million-euro aid during the migratory crisis |
| https://www.elmundo.es/internacional/2021/05/18/60a4014821efa0a8148b459d.html | NS: The Moroccan police caused deliberately thousands of children to go to Ceuta |
| https://elfarodeceuta.es/ninos-marruecos-engano-diciendo-ronaldo-jugaba-ceuta/ | NS: Morocco fooled the minors promoting rumors that Cristiano Ronaldo was coming to the enclave |