Migration, the process of relocating individuals from one place to another with a change in residence, is a significant force shaping modern economic development, social structures, and communities on both global and local scales. In 2020, the International Organization for Migration (IOM) reported that approximately 281 million people, or 3.6 percent of the global population, were international migrants, reflecting a continued upward mobility trend (IOM, 2022). Internal migration, or movement within countries, also plays a pivotal role in shaping local economies and household welfare, particularly in developing nations. In these contexts, economic factors such as income, employment opportunities, and living conditions are key influencers of migration decisions, making migration a crucial area of focus in economic research.
In Bangladesh, approximately 9.71 percent of the population has migrated internally in their lifetime, among which about 90 percent are rural-urban and urban-urban migrants (Hasan, 2019). Major urban centers such as Dhaka, Gazipur, and Narayanganj experience the highest in-migration rates, while northern and southern districts, such as Mymensingh, witness the highest out-migration rate at 45.5 percent (BBS, 2022; Alam & Mamun, 2022). Data from the Bangladesh Bureau of Statistics (BBS, 2022) further indicates that migration is particularly prevalent among individuals aged 20-24, with Dhaka emerging as a major destination. The primary motivations for migration include family relocation (51.1 percent), job opportunities (20.8 percent), new job searches (5.9 percent), and job-seeking (5.4 percent) (BBS, 2022). These patterns highlight the influence of demographic and socio-economic factors on migration in Bangladesh as individuals pursue better economic prospects and stability. Internal migration contributes substantially to Bangladesh’s economy, particularly in cities like Dhaka, which attract rural migrants seeking improved livelihoods due to higher wages and better employment opportunities (Hasan, 2019). However, migration also brings challenges, such as brain drain, labor market imbalances, and strains on social services (Adams & Page, 2005; Bhagwati & Hamada, 1974; Hossain, 2006).
Migration, a vital force driving global economic change and social restructuring, has been widely examined from various perspectives. Both internal and international migration influence labor markets, household welfare, and regional development, especially in developing countries (Taylor, 1999). Extensive research has been conducted globally on how socio-demographic factors such as age, gender, and education shape migration decisions (Stark & Bloom, 1985; Massey et al., 1993; Adams & Page, 2005). Moreover, economic incentives like better income in the destination, job opportunities, and overall economic well-being might potentially affect migration decisions (Pervez et al., 2024; Czaika & De Hass, 2011; Brown, 1997; Falaris, 1979). The studies on migration research in Bangladesh explore the economic drivers, such as remittances and employment aspects, to shape migration intentions at the individual level (Hossain, 2006; Chowdhury et al., 2012). The study of Kabir et al. (2014) presents overall migration determinants in Bangladesh with secondary data, focusing on the role of economic factors, marital status, and gender in migration decisions. Al-Maruf et al. (2022) found in their study that the farmers’ migration decisions were heavily influenced by factors such as age, household debt, agricultural knowledge, seasonal famine/poverty (Monga), rural unemployment, the availability of expected job possibilities in metropolitan regions, and river erosion. However, the existing literature mainly focuses on overall determinants of migration decisions in Bangladesh (Sohad et al., 2024; Islam et al., 2015; Pervez et al., 2024), often overlooking the nexus between different individual characteristics and the influence of family networks within the household decision-making process. The intersectionality of different socio-demographic variables and their combined effect on migration intentions still need to be explained. Furthermore, the dynamic between an individual’s basic demographic features and his family’s financial stability is also underexplored extensively at the household level studies in Bangladesh. The NELM framework is particularly effective in capturing the socio-economic interdependencies at the household level, where financial security and risk diversification strategies are central to migration decisions in rural, economically constrained contexts. Even though there are attempts to frame NELM in terms of international migration cases, there is no study that has applied the theory to comprehend internal migration intention from Bangladesh’s perspective.
This study seeks to address these gaps using a multi-faceted approach incorporating individual and household-level analyses. By quantifying the impact of demographic and socio-economic variables on migration intentions and addressing their interaction effects, this research explores how socio-demographic variables—such as age, gender, education, and profession—influence migration intentions. By examining through the lens of the NELM framework, this study provides a nuanced understanding of how demographic and socio-economic factors interact with each other to shape migration decisions in Bangladesh. Furthermore, employing cluster analysis, the study identifies distinct migration profiles, provides insights into households’ various strategies to navigate economic challenges, and offers valuable understandings of migration patterns by informing targeted policy strategies in developing countries like Bangladesh.
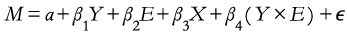
This study examines how key demographic and socio-economic variables—such as age, gender, education, household income and expenditure, family migration history, earning member status, and profession shape migration decisions. Aligning with the research objectives, this study utilizes the NELM framework to elucidate the dynamics and interaction effects of these variables on migration outcomes. NELM was developed in the 1970s, which refines earlier migration theories by shifting focus from individual economic motives to household-level strategies. Though our dataset captures individual responses, the incorporation of variables such as family earning member, family member migration history, and household income and expenditure suggest that migration decisions are part of collective efforts to diversify revenue and mitigate risks, consistent with NELM’s focus on migration as a household-driven strategy for financial security. Additionally, the role of education and professional status is significant, as higher educational attainment and professional status increase the likelihood of migration, enhancing individuals’ pursuit of better economic opportunities.
NELM has been applied in various contexts to illustrate how households use migration to manage economic risks and improve their welfare. For instance, studies in Mexico (Massey et al., 1993) and other regions (Adams & Page, 2005; Stark & Bloom, 1985; De Haas, 2010) have demonstrated how migration decisions are driven by the need to optimize household income and reduce economic vulnerability within the NELM framework. Tegegne and Penker (2016) showed migration variation through the NELM framework for the short and long term, relying on different variables like education and dependent household members. The formulation of NELM can be expressed through a utility maximization outline. Households are assumed to maximize their expected utility by choosing migration as a strategy to optimize their economic well-being. The utility function can be represented as:

Where U = Utility from migration, Y = Household income, E = Educational attainment, and X = Other socio-economic factors. The decision to migrate (M) is modeled as a function of these variables, where migration is a strategy to maximize utility given the constraints and opportunities available:

To encapsulate the economic principles of NELM in the context of our study, the general equation modeling migration intentions (M) can be specified as follows:

Where M = Migration intention (binary outcome); Y = Household income; E= Educational attainment; X = Other socio-economic factors; (Y×E) = Interaction term representing the combined effect of income and education; α= Intercept; β1, β2, β3…= Coefficients and
= Error term. This formulation reflects how migration intentions are influenced by economic factors and how these factors interact within the framework of household decision-making. Based on NELM and our dataset, the following hypotheses are derived:
H1: Higher education increases migration intentions.
H2: Younger individuals are more likely to migrate.
H3: High-status professionals with advanced education have stronger migration intentions.
H4: Secondary education reduces migration intentions compared to lower education.
This study focuses on Mymensingh, a division with the highest out-migration rates in Bangladesh (BBS, 2022). The region was selected due to its significant internal migration trends, providing a relevant context for examining migration intentions within the country. Data were collected from 255 individuals aged 18 and above through a multi-stage random sampling process, which involved selecting rural communities at the first stage and then households within those communities. This approach ensured representation across diverse socio-demographic groups. The respondents, all natives of Mymensingh, included individuals with and without family migration histories. While none were migrants themselves, the study focused on their intentions to migrate and how socio-demographic and economic factors influenced this decision. Key variables include demographic characteristics (e.g., age, gender, education) and socio-economic conditions (e.g., profession, household income, expenditure, earning member status, and family migration history). Migration intentions, the dependent variable (Mig_Nmig), were coded as 1 for intending to migrate and 0 otherwise. A population pyramid (Fig. 1) illustrates variations in intentions by age and gender, forming the basis for regression analyses. Ethical guidelines were strictly followed, with informed consent obtained, voluntary participation, and anonymized data to protect respondents’ privacy.
A series of logistic regression models were employed to quantify the impact of demographic and socio-economic variables on migration intentions. Logistic regression was chosen due to the binary nature of the dependent variable. The general form of the logistic regression model used is:

Where - π is the probability of migration intention; X1 , X2, … Xk are the independent variables (demographic and socio-economic factors); Β0 is the intercept, and Β1, β2, … βk are the coefficients. Separate logistic regression models were estimated for each set of predictors, with results presented in terms of coefficients and odds ratios to interpret the likelihood of migration. The odds ratio (OR) was calculated to interpret the effects and intensity of the predictors on migration intents. The equation of the odds ratio is:

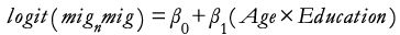
Where β is the estimated coefficient from the logistic regression, the odds ratio graph was plotted using the calculated odds ratios to visually represent the intensity of different factors influencing migration intentions. Interaction terms were incorporated into the logistic regression models based on previously identified significant demographic and socio-economic variables from earlier analyses to gain profound insights into migration intentions. Interaction terms allow the analysis of how the effect of one variable (e.g., education) on migration intentions might differ across levels of another variable (e.g., profession or age). The interaction effects were explored for Age and Education and Education and Profession to analyze their joint impact on migration intentions. The interaction between age and education is crucial as it examines how younger individuals with higher educational attainment may possess greater mobility and adaptability in pursuing migration. Similarly, the interplay between education and profession reveals that individuals in skilled professions are more likely to migrate as their qualifications align with global job markets, enhancing their opportunities for economic advancement. The model with interaction terms is specified as follows:

and

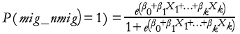
The predicted probabilities of migration intentions were computed for different combinations of independent variables and used to illustrate these relationships visually. This allowed for a detailed understanding of how the likelihood of migration changes across different demographic and socio-economic profiles. The predicted probabilities were derived from the logistic regression models using the formula:

To evaluate the performance of the logistic regression models, various model fit statistics were computed, including the pseudo-R-squared, likelihood ratio Chi-square test, and goodness-of-fit tests. These diagnostics helped to assess the explanatory power of the models and ensure the robustness of the findings. The pseudo-R-squared was calculated to indicate the proportion of variance explained by the models. At the same time, the likelihood ratio Chi-square test was used to assess the overall model fit.
This study applied K-means clustering with Gower distance to identify trends and unique profiles of migration intentions among the respondents. The clustering was designed to group individuals based on their demographic and socio-economic features, aiming to reveal distinct patterns that influence migration intentions. The K-means clustering algorithm was selected due to its efficiency in handling large datasets and suitability for segmenting respondents into discrete groups based on their characteristics. Since the dataset contained mixed data types (continuous, binary, and categorical variables), we employed the Gower distance metric appropriate for handling mixed data types in clustering. The study utilized the Elbow and Silhouette methods to determine the optimal number of clusters. The Elbow method involves plotting the total within-cluster sum of squares against the number of clusters and identifying where the curve starts to flatten, indicating diminishing returns in variance reduction. The Silhouette method evaluates the cohesion within and separation between clusters, with higher values indicating better-defined clusters. Based on these diagnostics, the optimal number of clusters was determined to be 5. The K-means algorithm was executed with the pre-determined number of clusters (k=5), and the respondents were grouped into five clusters. The centroid of each cluster was calculated as the mean of the variables within that cluster, and each respondent was assigned to the cluster whose centroid was closest in terms of Gower distance.
The equation for the Gower distance d (i, j) between two individuals i and j is given by:

Where p is the total number of variables and ẟk (i, j) represents the distance between individuals i and j for variable k. The distance calculation adjusts based on the variable type (binary, categorical, or continuous). STATA 15 was used to calculate the statistical analyses.
Table 1 represents the descriptive statistics of the respondents, with males at 76.08 percent and females at 23.92 percent, with the majority aged 35 and older (57.65 percent). Most participants have higher education (50.98 percent), while 24.71 percent have primary education. In terms of profession, they are diverse, with the largest segments in service (28.63 percent), business (18.43 percent), and agriculture (17.25 percent). The household income of the respondents shows that 49.41 percent earn 15,001-30,000 BDT, and 18.04 percent earn less than 15,000 BDT. The population pyramid (Fig. 1) indicates higher migration intentions among males across all age groups, with the highest migration intention seen in males aged 22-25 and a noticeable number of older males (50+) also showing no migration intentions. The varied age groups, education levels, household income ranges, and professions ensure the findings reflect trends within the sample, enabling in-depth analysis of demographic and socioeconomic influences.
Variable Demographic Variable | Mean | Freq. | Percent |
|---|---|---|---|
| Age (Years) | |||
| < 25 | 22.70 | 44 | 17.25 |
| 25-34 | 29.23 | 64 | 25.10 |
| 35-44 | 40.19 | 72 | 28.24 |
| 45+ | 51.21 | 75 | 29.41 |
| Gender | |||
| Male | 194 | 76.08 | |
| Female | 61 | 23.92 | |
| Education | |||
| No Edu. | .039 | 29 | 11.37 |
| Primary Edu. | .118 | 63 | 24.71 |
| Secondary Edu. | .333 | 33 | 12.94 |
| Higher Edu. | .510 | 130 | 50.98 |
| Socio-Economic Variable | |||
| Profession | |||
| Agriculture | .173 | 44 | 17.25 |
| Business | .184 | 47 | 18.43 |
| Service | .286 | 73 | 28.63 |
| Industry | .180 | 46 | 18.04 |
| Labor | .102 | 26 | 10.20 |
| Diaspora | .0745 | 19 | 7.45 |
| Household Income (Taka) | |||
| <15000 | 12847.826 | 46 | 18.04 |
| 15001-30000 | 24071.429 | 126 | 49.41 |
| 30001-50000 | 39983.333 | 60 | 23.53 |
| 50001-70000 | 61277.778 | 18 | 7.06 |
| >70001 | 87000 | 5 | 1.96 |

The analysis aimed to quantify the impact of demographic and socio-economic variables on the migration intentions of the respondents. Logistic regression results showed diverse effects of each predictor. Age stood out as a significant predictor, showing that older individuals are less likely to intend to migrate (β = -0.21, p < 0.001). This supports Hypothesis 2 and aligns with NELM’s utility maximization framework, suggesting that younger individuals, who often have fewer responsibilities and are more adaptable, are more likely to consider migration as a response to economic opportunities. The model demonstrated a strong fit (pseudo-R² = 0.445, χ² = 153.697, p < 0.001). Similarly, the presence of an earning member in the household showed a negative relationship with migration intentions (β = -0.426, SE = 0.272), signifying that families with stable incomes may not see migration as necessary for improving their economic situation. However, this effect was not statistically significant (p = 0.117), indicating that the influence of earning members on migration decisions requires further investigation. Gender showed a positive association with migration intentions, though not statistically significant. Females appeared slightly more likely to intend to migrate compared to males (β = 0.375, p = 0.221). However, the lack of statistical significance, combined with the model’s weak explanatory power (R² = 0.004, χ² = 1.530, p = 0.216), suggests that gender may not substantially influence migration intentions in this context.
Regarding educational attainment, it significantly influenced migration decisions, with individuals possessing higher education being much more likely to express intentions to migrate (β = 2.962, p < 0.01). The model demonstrated moderate explanatory power (R² = 0.320, χ² = 110.611, p < 0.000), supporting Hypothesis 1. This finding aligns with NELM’s utility maximization framework, suggesting that households may consider higher education a valuable resource facilitating migration, leading to better opportunities in urban areas or abroad, ultimately contributing to household welfare. In contrast, primary and secondary education did not significantly affect migration intentions. Specifically, having secondary education did not significantly reduce migration interest compared to having no education, suggesting that Hypothesis 4 was not fully supported. According to NELM, secondary education is expected to provide sufficient local opportunities to deter migration; however, the data did not confirm this expectation.
For other socio-economic variables, despite the model showing significant fit (R² = 0.130 for household income, R² = 0.165 for expenditure, both p < 0.000), the coefficients for household income and expenditure were 0, possibly due to the model specification. However, the negative relationship with income suggests that while economic factors are essential in migration decisions, households with sufficient income may prefer stability over the uncertainties of migration, which aligns with NELM’s focus on household decision-making. Additionally, the positive relationship between having family members who have migrated and an individual’s likelihood to migrate (β = 1.405, p = 0.072) highlights how family networks can influence migration decisions. While this supports NELM’s emphasis on household strategies, the result is only marginally significant at the 0.1 level.
The results further revealed that people working in certain professions, such as business, service, industry, and labor, were more likely to express interest in migrating. This supports the NELM theory, which suggests that individuals migrate to pursue better economic opportunities. Specifically, individuals in business (β = 2.175, p < 0.01), service (β = 5.150, p < 0.01), and industry (β = 4.965, p < 0.01) roles were significantly more likely to consider migration compared to those in agriculture, while individuals in labor (β = 1.833, p < 0.05) also showed a significant, though somewhat lower, likelihood of migration. In simpler terms, people in high-status or specialized jobs are more inclined to move for work-related reasons, which highlights the importance of professional opportunities in migration decisions. The model’s fit for professional categories was strong (pseudo-R-squared = 0.443, χ² = 153.126, p < 0.000), reinforcing the idea that professional categories are key predictors of migration decisions. The odds ratios (Fig. 2) further highlight how different factors impact migration intentions. Essentially, odds ratios tell us the likelihood of migration for individuals in specific groups compared to others. A higher odds ratio indicates a greater likelihood of migration. For example, people in the service and industry sectors were much more likely to want to migrate, with odds ratios of 172.43 and 143.31, respectively, showing the strongest association. Higher education also had a significant impact, with an odds ratio of 19.337, suggesting that those with higher education were far more likely to express migration intentions. In contrast, people in the business and labor sectors, as well as those with migrating family members, showed a moderate increase in migration likelihood.

The findings also delineate the interaction effects between profession, education, and age on migration intentions, examining how these drivers work together to influence individuals’ decisions to migrate. The first model demonstrated strong explanatory power (R² = 0.55, LR χ² = 190.15, p < 0.0001), supporting Hypothesis 3, which suggests that individuals with high-status professions and advanced education are more likely to migrate. For example, people in business professions with higher education were more likely to migrate (β = 1.32, p < 0.0001, odds ratio = 3.74). The association was even more vital for those in service professions (β = 1.85, p < 0.0001, odds ratio = 6.33) and industry professions (β = 1.91, p < 0.0001, odds ratio = 6.78). These results indicate that advanced education and professional roles significantly influence migration intentions, with the highest likelihood seen in the service and industry sectors, which is further illustrated in the predictive probabilities graph in Fig. 3.
Furthermore, the analysis also examined how age and education interact to influence migration intentions. The results reveal a positive and significant relationship between age and education, with the likelihood of migration increasing as both age and education rise (β = 0.012, p = 0.002). This suggests that as people grow older and gain more education, their intention to migrate becomes stronger. This trend may reflect the combination of accumulated knowledge and the greater need for economic stability as individuals age, particularly in developing countries like Bangladesh. The interaction is supported by a significant chi-square value (χ² = 10.376, p = 0.001), and the overall model explains a small portion of the variation in migration intentions (pseudo-R-squared = 0.030). The constant term was negative and significant (β = -0.891, p = 0.033), indicating that lower levels of both age and education are associated with lower migration intentions.


The predicted probabilities (Fig. 4) reveal interesting trends across different age and education groups. For example, individuals with no education consistently show low migration probabilities, ranging from 0.02 in the under-25 group to 0.32 in the 35-44 age group. Those with primary education also have low migration probabilities, which decrease slightly with age, from 0.04 in the youngest group to 0.02 in the oldest group. In contrast, individuals with secondary education show higher probabilities, peaking at 0.74 for those under 25 and falling to 0.43 for those aged 45 and older. Those with higher education have the highest migration probabilities, starting at 0.95 for the under-25 group and decreasing to 0.48 for the 45+ group. This suggests that education plays a vital role in moderating the typical decline in migration intentions with age, supporting the NELM theory, which emphasizes the importance of educational attainment in migration decisions.

These results emphasize the strong migration tendencies within these clusters, particularly among younger individuals and those in skilled professions. Age also emerged as a significant predictor of migration intention. The negative coefficient of -0.230 (p < 0.01) indicates that each additional year of age reduces the likelihood of migration by 20.5%, suggesting that younger individuals are more mobile. Income, although a positive predictor, had a minimal effect on migration intentions (β = 0.00), indicating that while income plays a role, it does not strongly drive migration decisions. Education showed mixed results. Individuals with secondary education were less likely to migrate than those without education (β = -3.701, p = 0.009), suggesting that those with some education may have more local opportunities or perceive less need to migrate. However, higher education positively influenced migration intentions in the separate regression model (β = 2.962, p < 0.01), though it was not significant in the clustered model (β = -2.174, p = 0.133), suggesting that other cluster-specific factors moderate the effect of education on migration intentions. The predicted probabilities (Fig. 6) varied significantly across the clusters. Cluster 1 had a very low probability of migration (0.000374), Cluster 2 showed a slightly higher probability (0.0067), while Clusters 3, 4, and 5 exhibited much stronger migration tendencies (0.725, 0.967 and 0.87, respectively).

To further analyze migration trends, the data was divided into five clusters based on similar features. Analysis of standardized mean data (Fig. 5) for several variables across the clusters highlights distinct characteristics for each cluster profile. Cluster 1 consists of middle-aged individuals with secondary and tertiary education, low income (0.02), and a male majority. Cluster 2 comprises older individuals with higher income (0.65), secondary and tertiary education, and no family migration history. Cluster 3 includes middle-aged individuals with low income (-0.29) and high education, with a female majority. Cluster 4 represents young individuals with low income (-0.92), high education, and a strong presence in high-skilled professions (2.18), predominantly male. Finally, cluster 5 is also young, with moderate income (-0.29), high education (1.41), significant representation in high-skilled professions (2.10), and predominantly male. Logistic regression (Appendix B) was conducted on these clusters to assess the intensity of migration intentions, with a heatmap (Fig. 6) created to display the predicted probability values for each cluster. The findings revealed that Clusters 3, 4, and 5 had significantly higher migration odds than Cluster 1. Specifically, individuals in Cluster 3 were over 70 times more likely to intend to migrate (p = 0.015), those in Cluster 4 were nearly 800 times more likely, and individuals in Cluster 5 were about 180 times more likely to express migration interests.
The most migration-intended clusters, Clusters 3, 4, and 5, share several key characteristics: they are predominantly younger groups with higher education levels, despite varying income levels, and have a significant presence in skilled professions. Cluster 3, with a female majority and high education but lower income, also reveals a strong migration intent despite economic constraints. The features of Cluster 4 support NELM’s perspective that socio-economic factors interact to influence migration decisions at the household level, and the trend of high migration intention is driven by younger age, lower household income, and moderate education, reflecting broader migration patterns in developing nations where economic situation and age factors heavily influence migration decisions.
The results highlight the importance of demographic and socio-economic factors such as age, family migration network, household earning members, education, and profession in shaping migration intentions. This echoes the NELM perspective that migration decisions are often collective household strategies rather than purely individual economic decisions.
The negative relationship between age and migration intentions in this study supports the broader migration literature, which often finds that younger individuals are more likely to migrate for educational opportunities, economic conditions, and family-related concerns (Gavonel, 2022; Milasi, 2020; Burrone & Holmqvist, 2018). This coincides with the NELM framework and is also consistent with earlier studies, where younger household members are often seen as crucial to income diversification efforts due to greater mobility and longer remaining working lives (Zhou & Feng, 2023; Brunarska & Ivlevs, 2023; Gödri & Feleky, 2017). The clustering analyses, particularly Clusters 3, 4, and 5, further emphasize that younger individuals are viable drivers of migration intentions, with these groups exhibiting the highest likelihood of migration. This suggests that policies should focus on creating opportunities for younger populations locally to mitigate the need for migration as an economic strategy.
The negative relationship between the presence of an earning member and migration intention (β = -0.426) indicates that stable household incomes reduce migration likelihood, consistent with the NELM framework’s view of migration as a strategy for income diversification rather than a direct response to individual income levels. Previous studies support the idea that migration decisions are influenced by various factors, including the stabilizing effect of having more earning members, which reduces migration likelihood (Dustmann & Kirchkamp, 2002; Borjas, 1995). Education plays a critical factor in migration intentions, with higher education showing a strong positive association. This finding aligns with earlier studies that higher education is crucial in enhancing access to improved job prospects nationally and globally, fostering human capital development and economic competitiveness in structured opportunity markets (Douglass, 2009; Billingham, 2018; Merrill, 2015; Bakari & Hunjra, 2018). However, the negative impact of secondary education presents a more nuanced picture, suggesting that individuals with this level of education may face a labor market mismatch—overqualified for local low-skilled jobs but lacking the qualifications for higher-wage opportunities referred to as the “education trap” which also align with previous studies (Mussida et al., 2019; Zhu, 2020; Masuda & Sakai, 2018), may explain why those with secondary education are less likely to migrate. Future research should further investigate the specific barriers faced by this group, especially in the context of local labor market conditions and migration networks.
Household income, surprisingly, had a minimal effect on migration intentions. This aligns with the NELM perspective, which views migration as a strategy for income diversification rather than being driven solely by higher income levels (Restelli, 2023; Jancewicz & Markowski, 2021; Mou & Olfert, 2015). Clusters 3 and 4, characterized by lower income levels and high migration intentions, reflect the economic constraints that drive households to consider migration as an approach to improve financial stability. Similar findings have been observed in other developing countries, where migration is seen as a necessary means of economic survival rather than an opportunity for wealth accumulation (Clemens, 2020; Chernobay et al., 2023; Ziesemer, 2011; Kleemans, 2015).
The respondents’ professions also emerged as a significant determinant of migration intentions. Individuals in non-agricultural sectors such as business, service, industry, and labor exhibited higher odds of migration, consistent with earlier literature that shows migration patterns are driven by economic factors like industry volatility, local economic shocks, and the pursuit of better opportunities, although high housing costs and personal ties may also play a role in tempering this mobility (Causa et al., 2023; Nedelkoska & Noseleit, 2008; Tolbert et al., 2006). The interaction between education and profession reveals a complex interplay between these factors. Moreover, the clustering results further highlight these tendencies, with business and service professionals in Cluster 4 demonstrating powerful migration intentions. Individuals with higher education levels in professional sectors are more likely to express migration intentions, highlighting how skill levels and sectoral opportunities drive migration. This aligns with the NELM framework, which views migration as a strategic household decision shaped by various socio-economic variables, including education, local labor market conditions, and broader global economic trends, as families seek to diversify income sources and mitigate economic risks, which is also consistent with earlier research findings (Poole, 2022; Oso et al., 2022; Rubinskaya, 2022; Karpestam & Andersson, 2013; Hughes, 2021). These insights underscore the need for policy interventions that address the economic vulnerabilities faced by these groups, potentially by improving local employment opportunities, enhancing local market equilibrium, and providing economic incentives to reduce the necessity of migration as a risk management strategy.
The clustering analysis played a crucial role in revealing distinct migration trends that a simple regression analysis might overlook. By using k-means clustering with Gower distance, this research was able to segment respondents into meaningful groups based on their demographic and socio-economic characteristics. For example, Cluster 4, characterized by younger age, moderate education, and lower income, highlights a group for whom migration is necessary for economic survival, particularly in the face of limited local opportunities. This pattern resonates with broader research, which shows similar migration profiles in rural areas of developing countries, including economic hardships and limited local opportunities that drive migration in rural areas (Barman & Roy, 2023), the role of younger age and lower income in making migration a necessary strategy for economic survival (Obi et al., 2020; Selod & Shilpi, 2021), and broader socio-economic conditions that affect migration patterns (De, 2019). This highlights how migration serves as a critical economic strategy for this demographic, allowing them to escape local economic stagnation, capitalize on better opportunities elsewhere, and mitigate risks associated with insufficient local employment and economic instability, reflecting the NELM’s views on migration as a strategy to diversify income and manage monetary risks.
While the findings align with existing migration studies, the nuanced effect of secondary education on migration intentions reveals some variations compared to other research. For instance, the “migration gain” perspective suggests that individuals might migrate not because of the education they already possess but rather to seek further education or better educational opportunities, which drive migration decisions (Li, 2022). This contrasts with our results, which indicate that secondary education may not strongly incentivize migration in regions with limited migration networks or economic opportunities. This observation aligns with research showing that educational factors interact with economic instability in migration contexts (De, 2022; Khan et al., 2018; David & Marouani, 2015). Furthermore, Gevrek et al. (2021) suggest that the impact of education on migration is influenced more by regional economic conditions and personal dissatisfaction with local opportunities than by educational attainment alone. This underscores the need for policies tailored to local economic and educational contexts to address migration drivers effectively. Our results also reflect broader patterns observed in studies of intellectual outflow and labor market dynamics, consistent with the idea that migration serves as a strategy to escape economic stagnation (Nahar & Ghani, 2020).
This study makes a critical contribution to migration theory by enhancing the understanding of internal migration in developing countries, specifically by applying the NELM framework. While the NELM framework emphasizes the collective household decision-making process, viewing migration as a strategy to diversify income and mitigate economic risks (Poole, 2022; Stark & Bloom, 1985; De Haas, 2010), the findings extend this framework by incorporating socio-economic factors—such as education, profession, and local labor market conditions—that are often underexplored within the NELM literature. Notably, this study challenges NELM’s traditional focus on international migration by applying it to internal migration in the context of Bangladesh, a developing country where migration decisions are shaped not only by global economic forces but also by local opportunities and networks. Moreover, the nuanced effect of secondary education observed in this study complicates the assumption within NELM that education is a direct and linear driver of migration. Instead, it underscores the importance of labor market conditions and the presence of migration networks that influence migration decisions. This shift in focus provides a more holistic view of migration, highlighting the complex interplay between economic necessity, education, and the availability of local opportunities. By exploring internal migration, our work fills an important gap in migration theory, offering a more multi-dimensional perspective that challenges the traditional economic determinism within the NELM framework. Thus, this research contributes to a more thorough understanding of migration in developing countries, illustrating how non-economic factors and local contexts play a crucial role in shaping migration decisions and inviting further theoretical debates about the broader applicability of NELM. Future research should investigate these dynamics across diverse regions and contexts to inform more effective policy responses. Such investigations will be crucial for developing tailored strategies supporting both economic stability and individual mobility in evolving labor markets.
The study’s findings advance our understanding of migration intentions in Bangladesh by investigating socio-demographic and economic profiles and their interaction dynamics using the lens of the NELM framework. It frames migration as a strategic response to economic conditions, revealing the significant influence of educational attainment, age, and professional status on migration decisions. The results exhibit that higher educational levels strongly predict increased migration intentions, supporting NELM’s principles that education enhances human capital and access to better economic opportunities. Younger individuals, with their flexibility and fewer socio-economic constraints, are more likely to migrate, aligning with NELM’s perspective on the adaptability of youth. High-status professionals with advanced degrees also display a strong inclination towards migration, seeking to match their skills with high-value opportunities. In contrast, those with secondary education show lower migration intentions, suggesting that local opportunities may be sufficient at this level.
These insights emphasize the need for targeted policy interventions. Policymakers should prioritize creating localized opportunities for higher education graduates, particularly by developing specialized sectors in regional industries (e.g., IT, renewable energy, or healthcare), to curb brain drain to urban centers or abroad. This could be achieved by offering incentives to businesses that establish operations in rural or semi-urban areas, encouraging investment and innovation. Additionally, job creation should be focused on younger individuals and secondary education graduates to manage migration flows and enhance regional economic stability. Fostering growth in industries such as agriculture, manufacturing, and services through tax incentives, microcredit schemes, and infrastructure investment will help to reduce migration pressures and stimulate local economies. Furthermore, vocational training programs tailored to local labor market needs should be expanded to provide individuals with skills that are in demand locally, mitigating the need for out-migration. Such programs could focus on sectors like construction, hospitality, and logistics, which are critical to regional economic development.
Policy interventions should also aim at strengthening local migration networks by facilitating the flow of information on local job opportunities and migration options, particularly for those with secondary education. Local government initiatives could link individuals with businesses or organizations that are actively recruiting in relevant sectors. Finally, regional development policies should focus on integrating migration management with rural revitalization efforts to ensure sustainable development, particularly in rural and semi-urban areas, and to prevent excessive rural depopulation. Incorporating migration trends into regional economic planning can help manage migration flows in ways that support both individual welfare and regional economic prosperity.
However, a key limitation of this study lies in its use of a convenience sample and its regional focus on Mymensingh, which may restrict the generalizability of the findings to other regions or populations in Bangladesh. Furthermore, the relatively small sample size and lack of longitudinal observation limit the ability to capture broader or evolving trends in migration motivations. Future research should employ larger panel datasets and incorporate variables like regional economic conditions and household financial strategies to provide a more comprehensive view of migration dynamics. Despite its limitations, this research offers valuable insights for developing policies that align educational achievements with economic opportunities, contributing to more effective migration management and regional development. This study advances theoretical discourse and provides actionable recommendations for policymakers addressing migration challenges and supporting sustainable regional growth.
Adams, R. H., & Page, J. (2005). Do international migration and remittances reduce poverty in developing countries? World Development, 33(10), 1645-1669. https://doi.org/10.1016/j.worlddev.2005.05.004
Alam, M. Z., & Mamun, A. A. (2022). Dynamics of internal migration in Bangladesh: Trends, patterns, determinants, and causes. Plos one, 17(2), e0263878. https://doi.org/10.1371/journal.pone.0263878
Al-Maruf, A., Pervez, A. K. M. K., Sarker, P. K., Rahman, M. S., & Ruiz-Menjivar, J. (2022). Exploring the Factors of Farmers. Rural–Urban Migration Decisions in Bangladesh. Agriculture, 12(5), 722. https://doi.org/10.3390/agriculture12050722
Bakari, H., & Hunjra, A. I. (2018). Access to higher education: the source of graduate employability and wellbeing. Journal of education and educational development, 5(2), 126-145. https://doi.org/10.22555/joeed.v5i2.1742
Bangladesh Bureau of Statistics (BBS). (2022). Population and Housing Census 2022: Migration. Bangladesh Bureau of Statistics. https://bbs.gov.bd/site/page/47856ad0-7e1c-4aab-bd78-892733bc06eb/Population-and-Housing-Census
Barman, B., & Roy, R. (2023). Socio-economic Determinants of Rural Out-migration in Koch Bihar District of West Bengal, India. In Population, Sanitation and Health: A Geographical Study Towards Sustainability (pp. 47-68). Springer Nature Switzerland. https://doi.org/10.1007/978-3-031-40128-2_4
Bhagwati, J., & Hamada, K. (1974). The Brain Drain, International Integration of Markets for Professionals and Unemployment: A Theoretical Analysis. Journal of Development Economics, 1, 19-42. https://doi.org/10.1016/0304-3878(74)90020-0
Billingham, S. (ed.) (2018). Access to Success and Social Mobility Through Higher Education: A Curate’s Egg? In Great Debates in Higher Education (pp. i-xxvii) Emerald Publishing Limited. https://doi.org/10.1108/978-1-78743-836-120181008
Borjas, G. J. (1995). The economic benefits from immigration. Journal of economic perspectives, 9(2), 3-22. https://doi.org/10.1257/jep.9.2.3
Brown, A. N. (1997). The economic determinants of the internal migration flows in Russia during transition [Working Papers no. 89]. William Davidson Institute (WDI). https://hdl.handle.net/2027.42/39479
Brunarska, Z., & Ivlevs, A. (2023). Family influences on migration intentions: The role of past experience of involuntary immobility. Sociology, 57(5), 1060-1077. https://doi.org/10.1177/00380385221136060
Burrone, S., & Holmqvist, G. (2018). Child-related concerns and migration decisions: evidence from the Gallup world poll [Working paper 2018-17]. UNICEF. https://hdl.handle.net/20.500.12799/6076
Causa, O., Abendschein, M., Cavalleri, M. C., & Luu, N. (2023). The laws of attraction: Economic drivers of inter-regional mobility in selected OECD countries. OECD Economics Department.
Chernobay, L., Malibroda, S., & Shevchuk, Yu (2023). The impact of international migration on the economy of developing countries. Economic Annals-XXI, 205(9-10), 4-13. https://doi.org/10.21003/ea.V205-01
Chowdhury, I. A., Haque, N., Kamal, M. M., Islam, T., Khan, M. M., Islam, M. N., & Uddin, I. (2012). Internal Migration and Socio-Economic Status of Migrants: A Study in Sylhet City, Bangladesh. American Journal of Human Ecology, 1(4), 123-133.
Clemens, M. A. (2020). Migration from Developing Countries: Selection, Income Elasticity and Simpson’s Paradox. Centro Studi Luca d’Agliano Development Studies Working Paper, (465). https://doi.org/10.2139/ssrn.3688065
Czaika, M., & De Haas, H. (2011). Determinants of Migration to the UK. Migration Observatory Briefing, COMPAS. University of Oxford. https://migrationobservatory.ox.ac.uk/wp-content/uploads/2016/04/Briefing-Determinants-of-Migration-17-1.pdf
David, A. M., & Marouani, M. A. (2015). Migration and employment interactions in a crisis context: The case of Tunisia. Economics of Transition, 23(3), 597-624. https://doi.org/10.1111/ecot.12074
De Brauw, A. (2019). Determinants of migration among rural youth throughout the world (Discussion Paper no. 1898). International Food Policy Research Institute (IFPRI). https://ssrn.com/abstract=3515618
De Haas, H. (2010). Migration and Development: A Theoretical Perspective. International Migration Review, 44(1), 227-264. https://doi.org/10.1111/j.1747-7379.2009.00804.x
De Maria, F. (2022). The role of educational conditions in defining migratory potential: the case of the young people of the Ivory Coast. Form@ re-Open Journal per la formazione in rete, 22(1), 279-296. https://doi.org/10.36253/form-12860
Douglass, J. A. (2009). Higher education’s new global order: How and why governments are creating structured opportunity markets. Center for Studies in Higher Education. http://escholarship.org/uc/item/8690x140
Dustmann, C., & Kirchkamp, O. (2002). The optimal migration duration and activity choice after re-migration. Journal of development economics, 67(2), 351-372. https://doi.org/10.1016/S0304-3878(01)00193-6
Falaris, E. M. (1979). The determinants of internal migration in Peru: an economic analysis. Economic Development and Cultural Change, 27(2), 327-341. https://doi.org/10.1086/451096
Gavonel, M. D. C. F. (2022). Are young internal migrants favourably’ selected? Evidence from four developing countries. Oxford Development Studies, 51(2), 97-125. https://doi.org/10.1080/13600818.2022.2156491
Gevrek, Z. E., Kunt, P., & Ursprung, H. W. (2021). Education, political discontent, and emigration intentions: evidence from a natural experiment in Turkey. Public Choice, 186, 563-585. https://doi.org/10.1007/s11127-019-00724-1
Gödri, I., & Feleky, G. A. (2017). Selection of migrants and realization of migration intentions-lessons from a panel study [Working papers on population, family and welfare no. 29]. Hungarian Demographic Research Institute. https://hdl.handle.net/10419/226472
Hasan, A. H. R. (2019). Internal migration and employment in Bangladesh: an economic evaluation of rickshaw pulling in Dhaka City. In K. Jayanthakumaran, R. Verma, G. Wan & E. Wilson (eds.), Internal migration, urbanization, and poverty in Asia: Dynamics and interrelationships (pp. 339-359). Springer. https://doi.org/10.1007/978-981-13-1537-4_12
Hossain, M. S. (2006). Urban poverty and adaptations of the poor to urban life in Dhaka City, Bangladesh (Doctoral dissertation). UNSW, Sydney. https://doi.org/10.26190/unsworks/15685
Hughes, C. (2021). Conditional Cash Transfers and Migration: Reconciling Feminist Theoretical Approaches With the New Economics of Labor Migration. Demography, 58(1), 383-391. https://doi.org/10.1215/00703370-8928494
International Organization for Migration (IOM). (2022). World Migration Report 2022. IOM Publications.
Islam, R., Rokib, A., Alam, R., Mondal, N. I., & Rahman, S. (2015). Effects of Socio-Demographic Factors on Female Migrants: Path Model Approach. American Journal of Operational Research, 5(1), 9-14.
Jancewicz, B., & Markowski, S. (2021). Economic turbulence and labour migrants’ mobility intentions: Polish migrants in the United Kingdom, Ireland, the Netherlands and Germany 2009-2016. Journal of Ethnic and Migration Studies, 47(17), 3928-3947. https://doi.org/10.1080/1369183X.2019.1656059
Kabir, D. M. H., Jamil, S., & Islam, M. N. (2014). Determinants of Internal Migration: Evidence from Bangladesh. https://cabinet.portal.gov.bd/sites/default/files/files/cabinet.portal.gov.bd/research_corner/9dbddde7_4354_4f17_a256_1a444156b1aa/Determinants%20of%20Internal%20Migration%20Evidence%20from%20Bangladesh.pdf
Karpestam, P., & Andersson, F. N. (2013). Economic perspectives on migration. In Routledge International Handbook of Migration Studies (pp. 29-44). Routledge.
Khan, Y., Hassan, T., Yi, W. M., & Gulzar, R. (2018). A Comparative analysis based on economic factors of students emigration from South Asia. Asian Journal of Economics and Empirical Research, 5(2), 201-208. https://doi.org/10.20448/journal.501.2018.52.201.208
Kleemans, M. A. (2015). Essays of Economic Development and Migration (Doctoral dissertation). University of California, Berkeley. https://escholarship.org/uc/item/7t30154c
Li, X. (2022). Migration Behaviors and Educational Attainment of Metro and Non‐Metro Youth. Rural Sociology, 87(4), 1302-1339. https://doi.org/10.1111/ruso.12449
Massey, D. S., Arango, J., Hugo, G., Kouaouci, A., Pellegrino, A., & Taylor, J. E. (1993). Theories of international migration: A review and appraisal. Population and Development Review, 19(3), 431-466. https://doi.org/10.2307/2938462
Masuda, K., & Sakai, Y. (2018). Secondary education and international labor mobility: Evidence from the free secondary education reform in the Philippines (No. 2018-5). Center for Economic Institutions, Institute of Economic Research, Hitotsubashi University.
Merrill, B. (2015). Strategies of action: improving employability. Revista Fuentes, 16, 15-36. https://doi.org/10.12795/revistafuentes.2015.i16.01
Milasi, S. (2020). What drives youth’s intention to migrate abroad? Evidence from International Survey Data. IZA journal of Development and Migration, 11(1). https://doi.org/10.2478/izajodm-2020-0012
Mou, H., & Olfert, M. R. (2015). Inter-provincial migration intentions of family physicians in Canada: the roles of income and community characteristics. Healthcare Policy, 11(2), 58.
Mussida, C., Sciulli, D., & Signorelli, M. (2019). Secondary school dropout and work outcomes in ten developing countries. Journal of Policy Modeling, 41(4), 547-567. https://doi.org/10.1016/j.jpolmod.2018.06.005
Nahar, H. S., & Ghani, E. K. (2020). Asian education for the world labor market: A Malaysian survey of migration propensity. Humanities and Social Sciences, 8(2), 985-992. https://doi.org/10.18510/HSSR.2020.82109
Nedelkoska, L., & Noseleit, F. (2008). Industry dynamics and highly qualified labor mobility [Jena Economic Research Papers No. 2008, 095]. Friedrich Schiller University Jena and Max Planck Institute of Economics. https://hdl.handle.net/10419/31713
Obi, C., Bartolini, F., Brunori, G., & D’Haese, M. (2020). How does international migration impact on rural areas in developing countries? A systematic review. Journal of Rural Studies, 80, 273-290. https://doi.org/10.1016/j.jrurstud.2020.09.016
Oso, L., Kaczmarczyk, P., & Salamońska, J. (2022). Labour migration. In P. Scholten (ed.), Introduction to Migration Studies (pp. 117-135). Springer. https://doi.org/10.1007/978-3-030-92377-8_7
Pervez, A. K. M. K., Ishida, A., Kabir, M. S., & Tang, L. (2024). Migration Intention of Rural Farmers to Urban Areas in Bangladesh and Its Determinants: A Partial Least Squares Structural Equation Modelling Approach. Societies, 14(7), 99. https://doi.org/10.3390/soc14070099
Poole, A. (2022). Migration as conflict risk-management: testing the new economics of labour migration as a framework for understanding refugee decision-making. Journal of Ethnic and Migration Studies, 48(15), 3725-3742. https://doi.org/10.1080/1369183X.2021.1984217
Restelli, G. (2023). Development and international migration: The effect of income on regular and irregular migration intentions to Europe. Population and Development Review, 49(1), 135-174. https://doi.org/10.1111/padr.12525
Rubinskaya, E. (2022). International Labor Migration As Economic Scientific Category: New Conceptual Approach. The EUrASEANs: Journal on Global Socio-Economic Dynamics, 6(37), 46-52. https://doi.org/10.35678/2539-5645.6(37).2022.46-53
Selod, H., & Shilpi, F. (2021). Rural-urban migration in developing countries: Lessons from the literature. Regional Science and Urban Economics, 91, 103713. https://doi.org/10.1016/j.regsciurbeco.2021.103713
Sohad, M. K. N., Celi, G., & Sica, E. (2024). Factors determining migration intentions in Bangladesh: from land to factory. Journal of Economic Studies, 51(5), 1058-1076. https://doi.org/10.1108/JES-06-2023-0293
Stark, O., & Bloom, D. E. (1985). The new economics of labor migration. The american Economic review, 75(2), 173-178. http://www.jstor.org/stable/1805591?origin=JSTOR-pdf
Taylor, J. E. (1999). The new economics of labour migration and the role of remittances in the migration process. International Migration, 37(1), 63-88. https://doi.org/10.1111/1468-2435.00066
Tegegne, A. D., & Penker, M. (2016). Determinants of rural out-migration in Ethiopia: Who stays and who goes? Demographic Research, 35, 1011-1044. http://www.jstor.org/stable/26332102
Tolbert, C., Blanchard, T., & Irwin, M. (2006). Stability and Change in Individual Determinants of Migration: Evidence from 1985-1990 and 1995 to 2000 [Working Papers 06-27]. Center for Economic Studies, U.S. Census Bureau. https://ideas.repec.org/p/cen/wpaper/06-27.html
Zhou, X., & Feng, W. (2023). Analysis of the Post-Retirement Migration Intention of Rural Residents and Its Main Influencing Variables. Sustainability, 15, 14050. https://doi.org/10.20944/preprints202308.1469.v1
Zhu, X. (2020, January). Study on rural poverty reduction effect of secondary vocational education. In 2019 International Conference on Education Science and Economic Development (ICESED 2019) (pp. 162-165). Atlantis Press. https://doi.org/10.2991/icesed-19.2020.110
Ziesemer, T. H. (2011). Developing countries’ net-migration: The impact of economic opportunities, disasters, conflicts, and political instability. International Economic Journal, 25(3), 373-386. https://doi.org/10.1080/10168737.2011.607258